Open Access
Fig. 3

Download original image
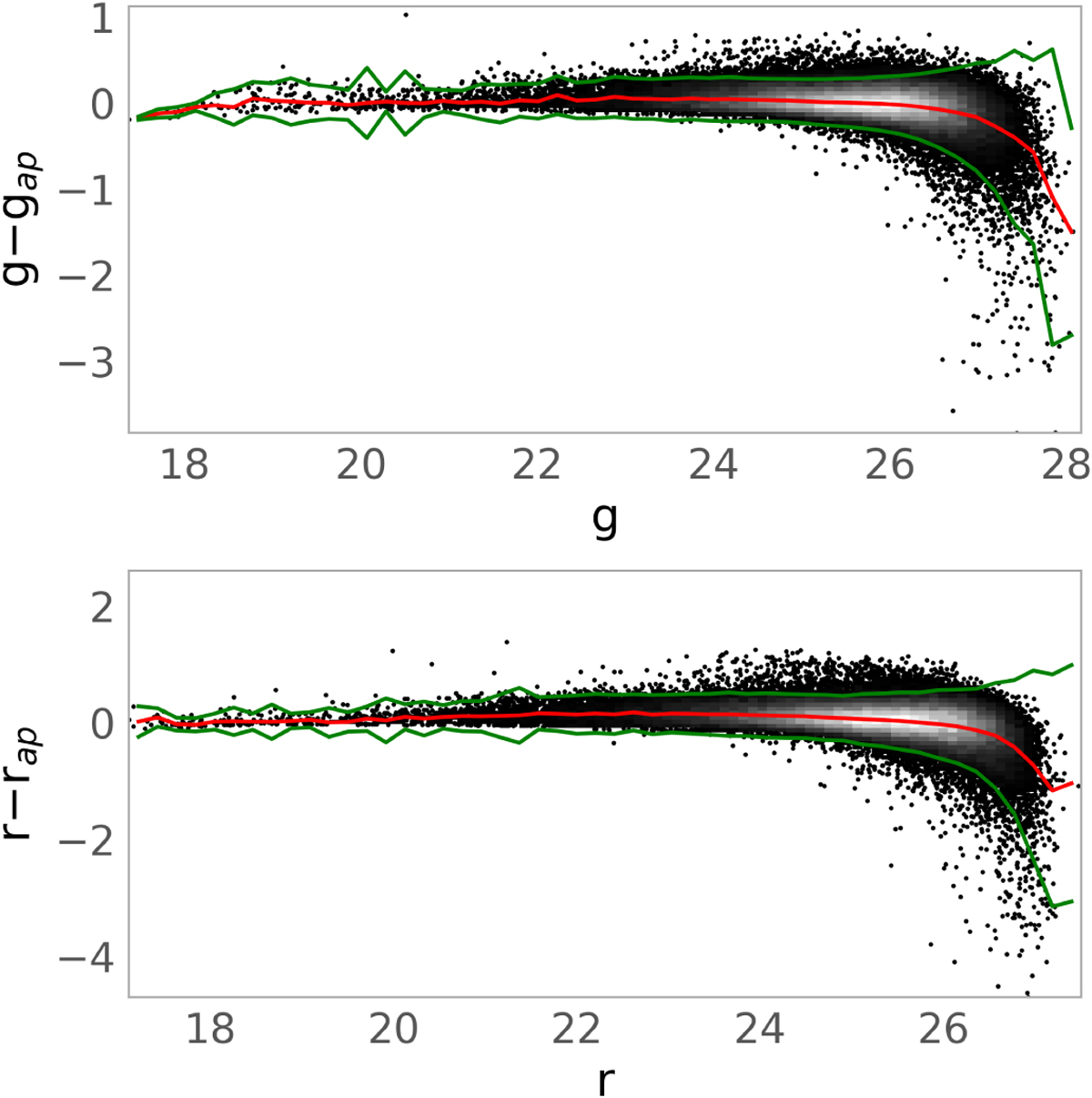
One of the selection parameters we used on the photometric catalog of UGC 8638, showing the PSF-fitting minus aperture magnitudes vs PSF magnitudes in g (top panel) and r (bottom panel). The red line shows the median of the distribution, and the green lines show the ±2σ levels that were used to select the sources.
Current usage metrics show cumulative count of Article Views (full-text article views including HTML views, PDF and ePub downloads, according to the available data) and Abstracts Views on Vision4Press platform.
Data correspond to usage on the plateform after 2015. The current usage metrics is available 48-96 hours after online publication and is updated daily on week days.
Initial download of the metrics may take a while.