Fig. 1.

Download original image
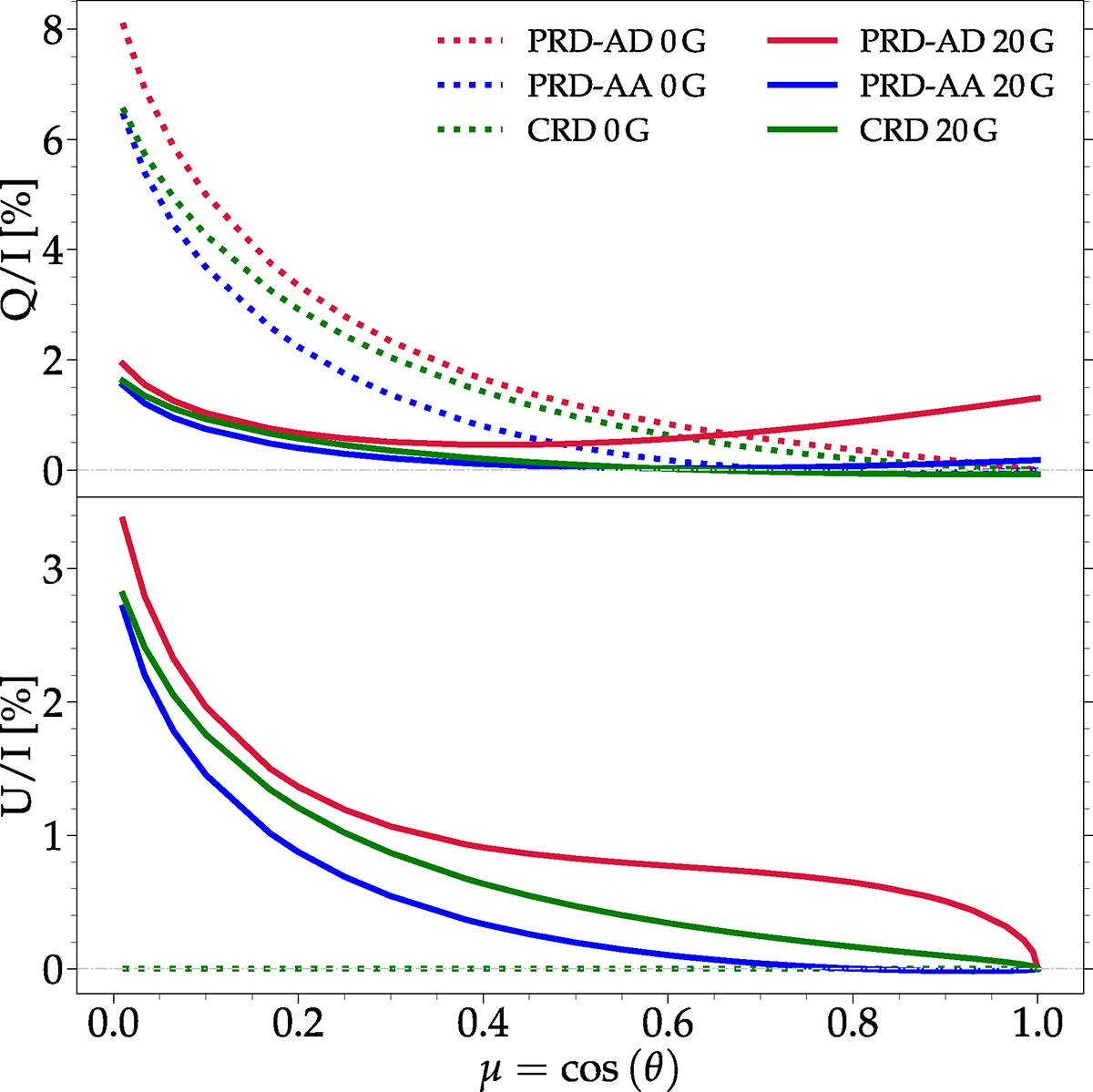
Center-to-limb variation of the Ca I 4227 line-center fractional linear polarization Q/I (upper panel) and U/I (lower panel) obtained from CRD, PRD–AA, and PRD–AD calculations in the FAL-C atmospheric model, both in the absence (dotted curves) and in the presence (solid curves) of a magnetic field. The dotted curves for U/I are equal to zero. In the magnetic case, a height-independent horizontal (θB = π/2, χB = 0) magnetic field of 20 G is considered. The reference direction for positive Stokes Q is parallel to the y-axis of the considered reference system (i.e., perpendicular to the magnetic field).
Current usage metrics show cumulative count of Article Views (full-text article views including HTML views, PDF and ePub downloads, according to the available data) and Abstracts Views on Vision4Press platform.
Data correspond to usage on the plateform after 2015. The current usage metrics is available 48-96 hours after online publication and is updated daily on week days.
Initial download of the metrics may take a while.