Open Access

Fig. 1

image

Download original image

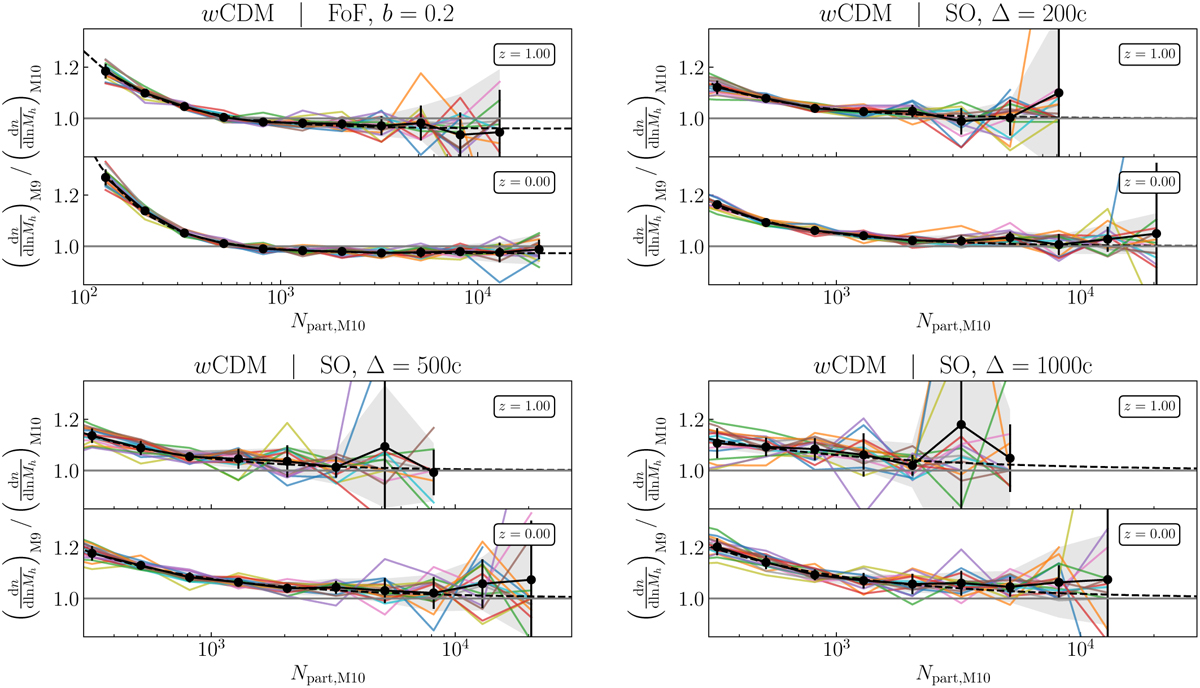
Ratio of the HMF with the better mass resolution M9 to the one with the standard mass resolution M10 as a function of the number of standard resolution particles per halo Npart,M10 at z = 0 and z = 1. This quantity has been computed using the higher resolution simulation set L328_M9. Each sub-plot shows the case of a different halo definition: FoF with b = 0.2 (top-left) and SO with = 200c (top-right), = 500c (bottom-left), and = 1000c (bottom-right). Each coloured line corresponds to one of the 16 cosmological models of the first slice of the wCDM quasi-PLHS. The black solid line gives the mean over all cosmological models, with the standard deviation among them as error bars. The grey band attached to the mean is an estimation of the typical expected error for the individual HMF ratio. The dashed line corresponds to the fit to the mean using the fitting function given in Eq. (6) for SO haloes, and in Eq. (7) for the FoF case.

Current usage metrics show cumulative count of Article Views (full-text article views including HTML views, PDF and ePub downloads, according to the available data) and Abstracts Views on Vision4Press platform.

Data correspond to usage on the plateform after 2015. The current usage metrics is available 48-96 hours after online publication and is updated daily on week days.

Initial download of the metrics may take a while.