Open Access

Fig. 12

image

Download original image

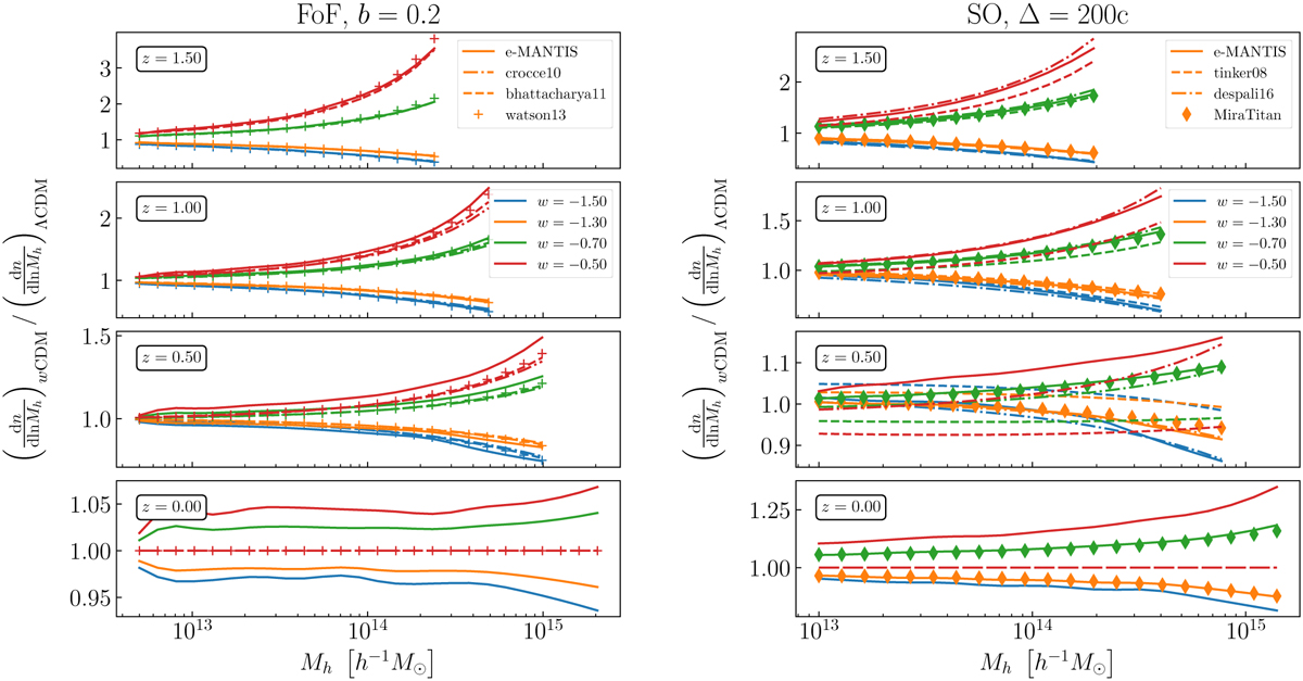
Ratio of the HMF in wCDM with respect to ΛCDM for different values of w and at different redshifts, as predicted by e-MANTIS as well as multiple HMF predictions from other works. Left: FoF haloes with b = 0.2. Right: SO haloes with Δ = 200c. Only the dedicated emulators are able to fully capture the cosmological and redshift dependence of the HMF.

Current usage metrics show cumulative count of Article Views (full-text article views including HTML views, PDF and ePub downloads, according to the available data) and Abstracts Views on Vision4Press platform.

Data correspond to usage on the plateform after 2015. The current usage metrics is available 48-96 hours after online publication and is updated daily on week days.

Initial download of the metrics may take a while.