Open Access

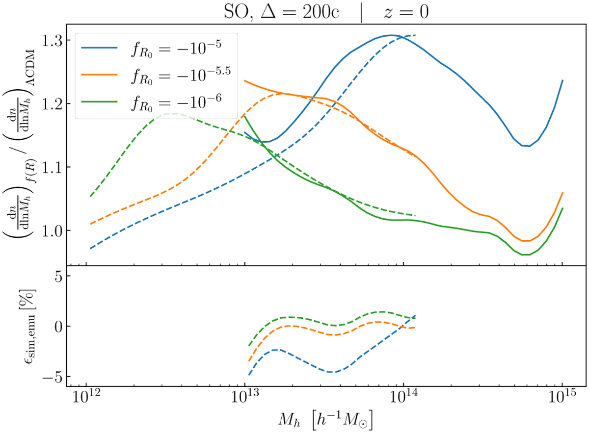
Fig. 14

image

Download original image

Comparison between the e-MANTIS predictions and those of the emulator from Ruan et al. (2023). Top panel: ratio of the HMF in f (R) gravity with respect to ΛCDM for different values of fR0${f_{{R_0}}}$, as predicted by e-MANTIS (solid lines) and the emulator of Ruan et al. (2023) (dashed lines), at z = 0 and for SO haloes with ∆ = 200c. Bottom panel: relative difference, in the common mass range, between the predictions from Ruan et al. (2023) and e-MANTIS. Both emulators are compatible at the few percent level, and have complementary mass ranges.

Current usage metrics show cumulative count of Article Views (full-text article views including HTML views, PDF and ePub downloads, according to the available data) and Abstracts Views on Vision4Press platform.

Data correspond to usage on the plateform after 2015. The current usage metrics is available 48-96 hours after online publication and is updated daily on week days.

Initial download of the metrics may take a while.