Open Access

Fig. 8

image

Download original image

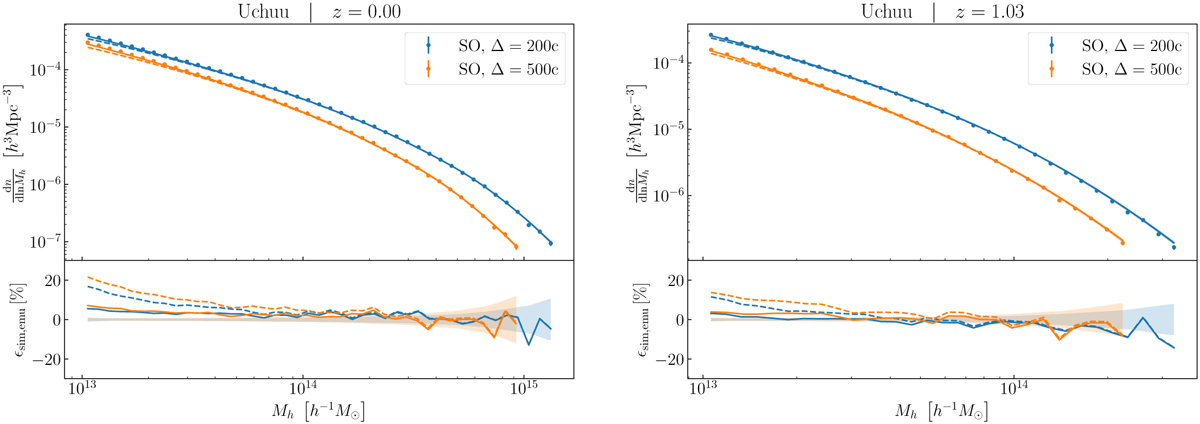
Comparison of the emulator HMF predictions to that estimated from the Uchuu simulation, at z = 0 (left) and z = 1.03 (right). Top panels: HMF from the simulation (solid circles) and emulator predictions with (solid lines) and without (dashed lines) resolution correction. The noise in the simulation measurements and the emulator predictions are given as error bars and a shaded area respectively around the corresponding lines (not always visible for small errors). The Uchuu haloes have been detected with the Rockstar halo finder (Behroozi et al. 2013). Bottom panels: relative difference between the simulation measurements and the emulator predictions with (solid lines) and without (dashed lines) resolution correction. The shaded areas mark the 1σ confidence interval, combining both the simulation data noise and the emulator accuracy.

Current usage metrics show cumulative count of Article Views (full-text article views including HTML views, PDF and ePub downloads, according to the available data) and Abstracts Views on Vision4Press platform.

Data correspond to usage on the plateform after 2015. The current usage metrics is available 48-96 hours after online publication and is updated daily on week days.

Initial download of the metrics may take a while.