Open Access

Fig. 13

image

Download original image

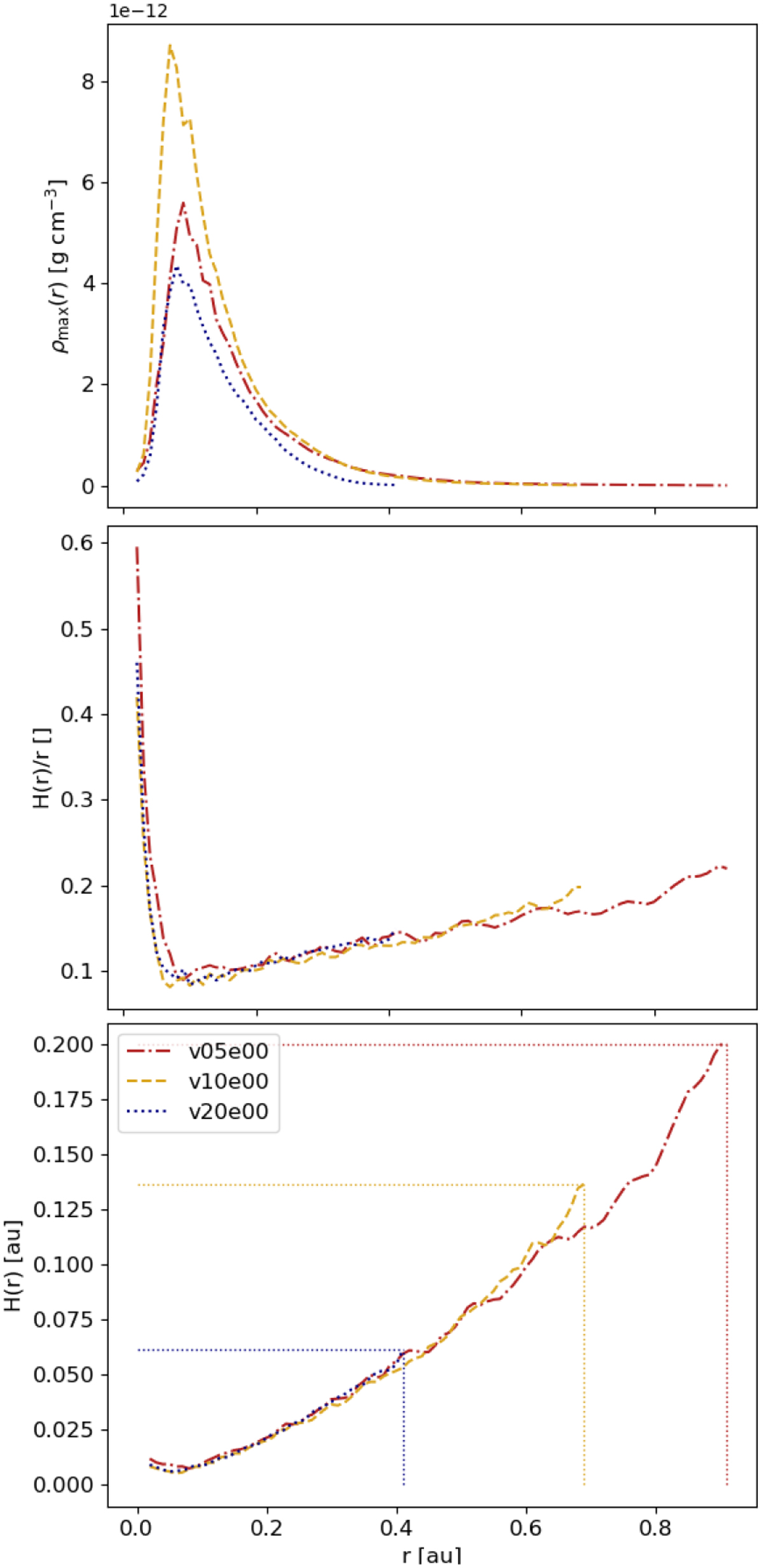
Mid-plane density, ρmax, aspect ratio, H(r)/r, and median density scale height, H(r), (see Eq. (7)) as a function of disk radius for the circular orbit models. The dotted lines in the bottom plot indicate the scale height at the estimated outer disk radius (see Eq. (9)).

Current usage metrics show cumulative count of Article Views (full-text article views including HTML views, PDF and ePub downloads, according to the available data) and Abstracts Views on Vision4Press platform.

Data correspond to usage on the plateform after 2015. The current usage metrics is available 48-96 hours after online publication and is updated daily on week days.

Initial download of the metrics may take a while.