Fig. 1.

Download original image
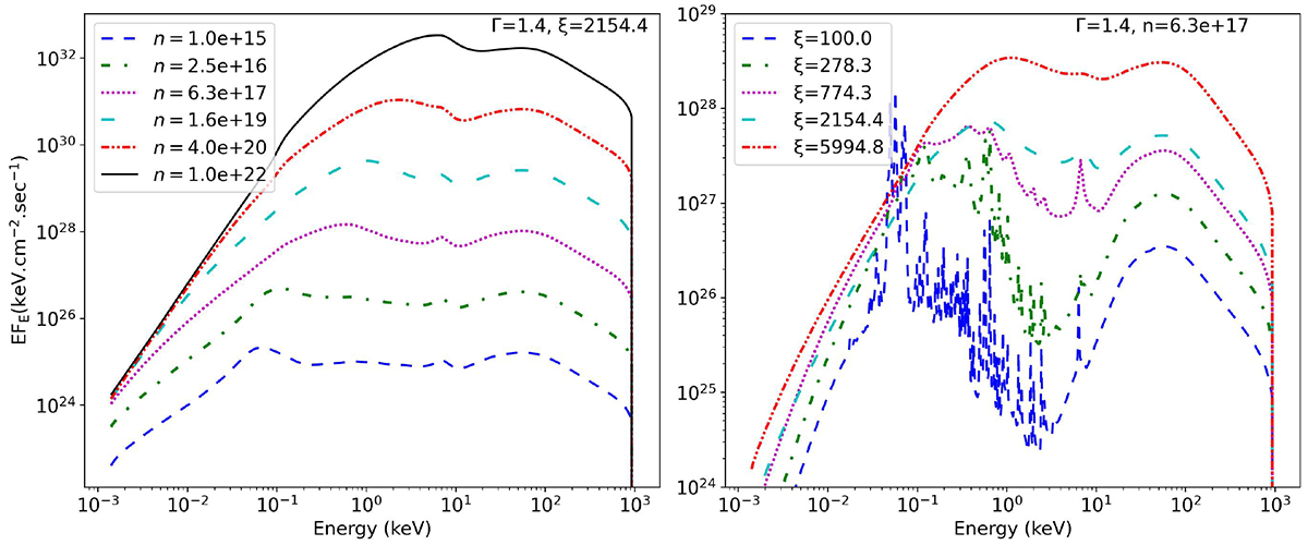
Variation in EFE with density (n) and ionization (ξ) from reflionx_hd table with appropriate normalization. The corresponding n and ξ are written in the legend. The reflionx_hd table has three input parameters: n, ξ, and Γ. For a variation of either n or ξ, the fixed values of other input parameters are noted on the plot. More on the normalization of these spectra in footnote 9.
Current usage metrics show cumulative count of Article Views (full-text article views including HTML views, PDF and ePub downloads, according to the available data) and Abstracts Views on Vision4Press platform.
Data correspond to usage on the plateform after 2015. The current usage metrics is available 48-96 hours after online publication and is updated daily on week days.
Initial download of the metrics may take a while.