Open Access

Fig. 2.

image

Download original image

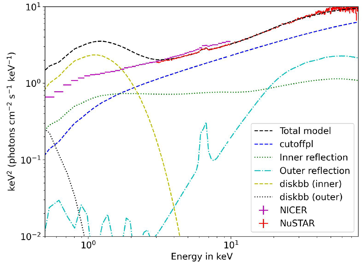
Best-fit model A for NuSTAR data. Expected reprocessed blackbody as a consequence of reflection are modeled as diskbb components, which are added separately over the best-fitted model A. diskbb(inner) and diskbb(outer) denote the diskbb components corresponding to thermalization due to inner and outer reflection, respectively. Simultaneous NICER data were presented to compare the fitted model in the lower energy. We present the unfolded spectrum to show the data of different instruments on the same scale.

Current usage metrics show cumulative count of Article Views (full-text article views including HTML views, PDF and ePub downloads, according to the available data) and Abstracts Views on Vision4Press platform.

Data correspond to usage on the plateform after 2015. The current usage metrics is available 48-96 hours after online publication and is updated daily on week days.

Initial download of the metrics may take a while.