Open Access

Fig. 8.

image

Download original image

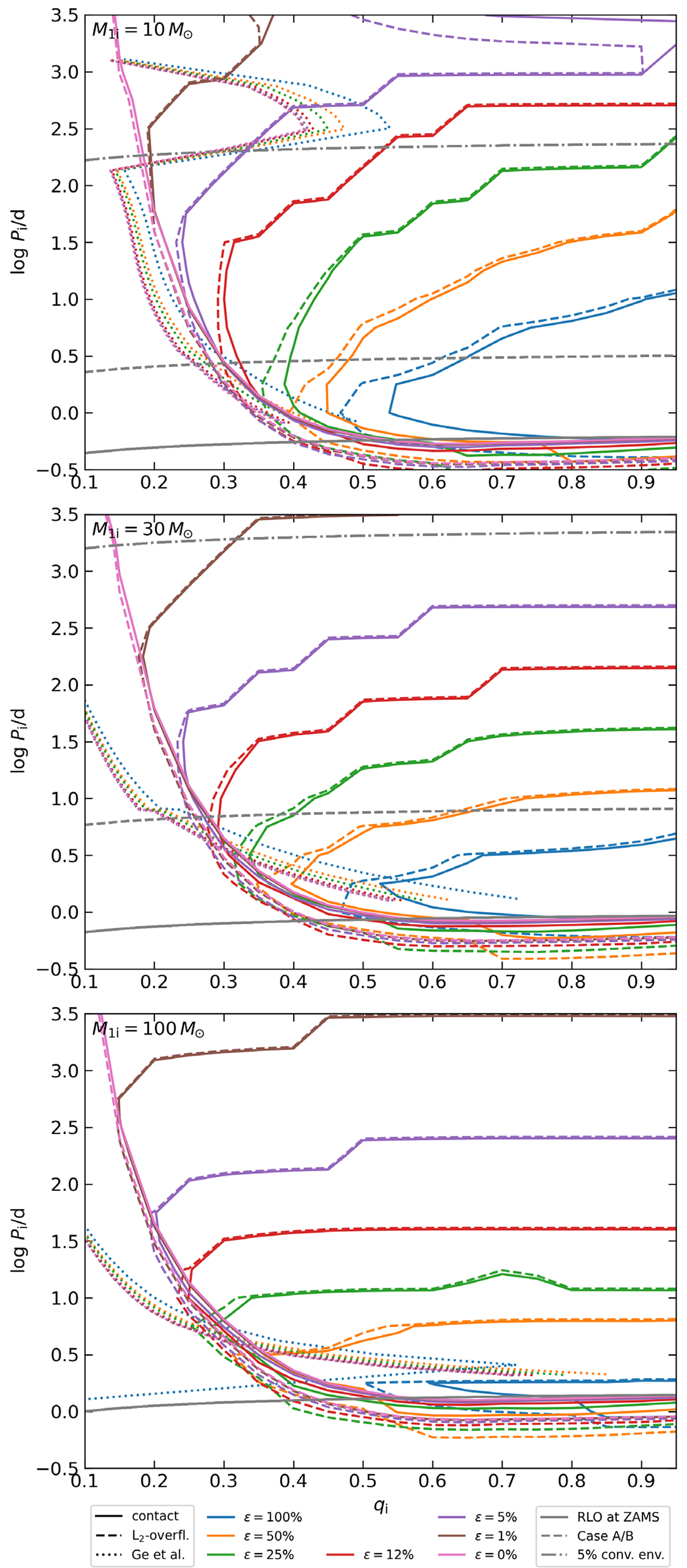
Boundary between the contact-developing and the contact-avoiding models for different initial donor masses (from top to bottom, 10, 30, and 100 M) assuming the ejected material carries the specific orbital angular momentum of the accretor (i.e. α = η = 0, β = −ε, B = 1). The colours indicate the assumed mass-transfer efficiency. The dashed lines show the boundary of L2 overflow, and the dotted lines represent the critical mass ratio for dynamical timescale mass transfer derived from Ge et al. (2010, 2015, 2020).

Current usage metrics show cumulative count of Article Views (full-text article views including HTML views, PDF and ePub downloads, according to the available data) and Abstracts Views on Vision4Press platform.

Data correspond to usage on the plateform after 2015. The current usage metrics is available 48-96 hours after online publication and is updated daily on week days.

Initial download of the metrics may take a while.