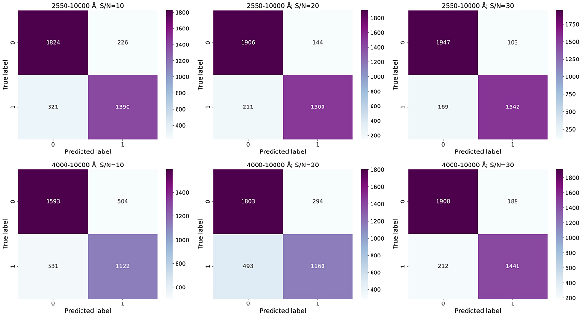
Fig. 10.

Download original image
Confusion matrices for identifying CE-EMP stars at different S/N levels. The top panels show the results with UV band spectra at S/N of 10, 20, and 30, while the bottom panels show them without UV band spectra. In each matrix, the upper left and lower right corners show the counts of correctly classified CN-EMP stars (label 0) and CE-EMP stars (label 1), respectively. The lower left corner indicates the number of CN-EMP stars mistakenly classified as CE-EMP stars (false positives), and the upper right corner represents CE-EMP stars incorrectly identified as CN-EMP stars (false negatives).
Current usage metrics show cumulative count of Article Views (full-text article views including HTML views, PDF and ePub downloads, according to the available data) and Abstracts Views on Vision4Press platform.
Data correspond to usage on the plateform after 2015. The current usage metrics is available 48-96 hours after online publication and is updated daily on week days.
Initial download of the metrics may take a while.