Open Access
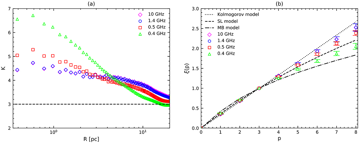
Fig. 4.

Download original image
Kurtosis (panel (a)) and scaling exponent (panel (b)) of the SPI at different frequencies for the simulation of Run1. The horizontal dashed line plotted in panel (a) corresponds to the kurtosis value of Gaussian distribution.
Current usage metrics show cumulative count of Article Views (full-text article views including HTML views, PDF and ePub downloads, according to the available data) and Abstracts Views on Vision4Press platform.
Data correspond to usage on the plateform after 2015. The current usage metrics is available 48-96 hours after online publication and is updated daily on week days.
Initial download of the metrics may take a while.