Open Access

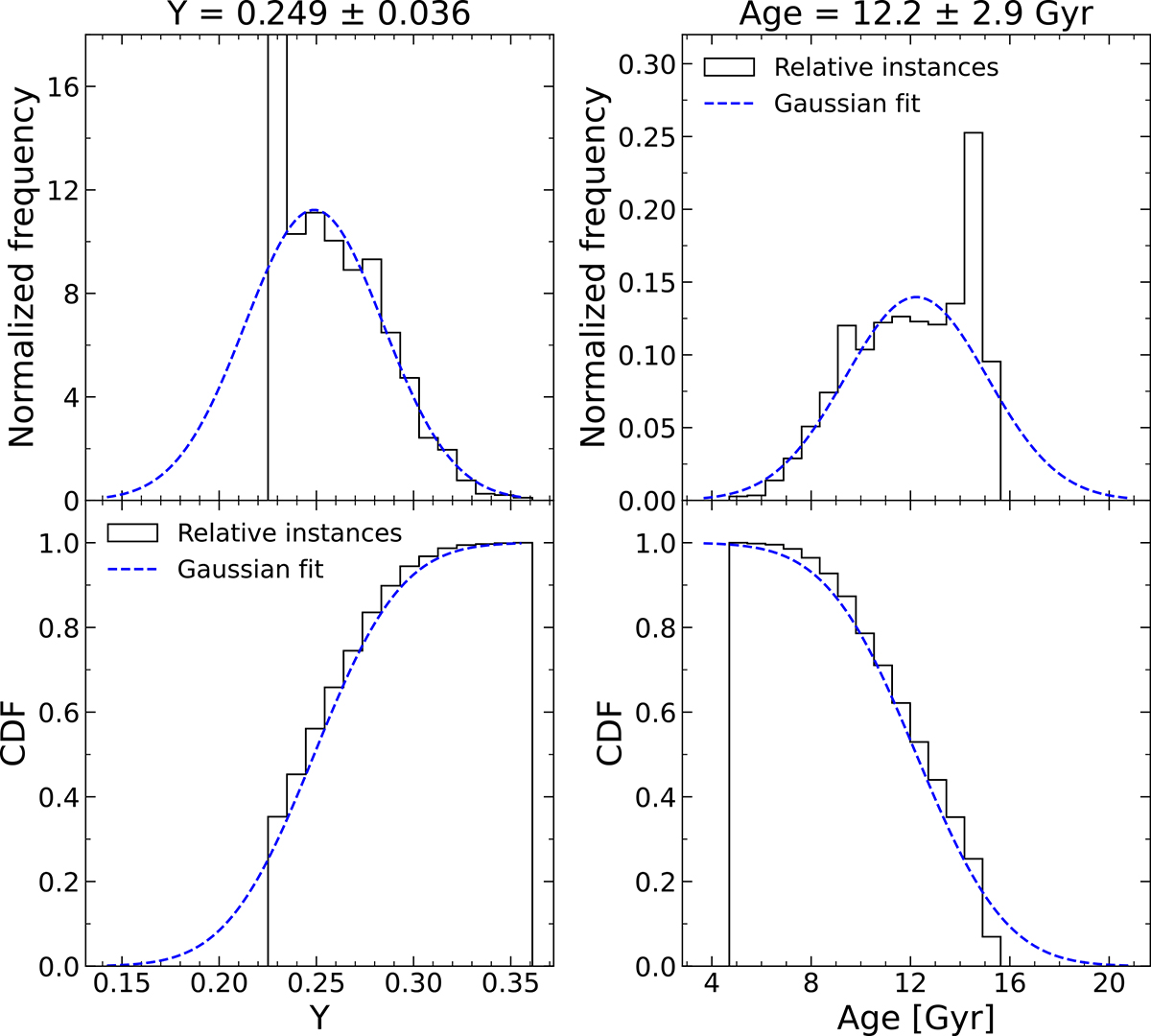
Fig. 3.

image

Download original image

Y (left) and age (right) distributions across 2000 MC instances, using relative PGPUC tracks with Z = 0.006. The upper panels show the Y and age distributions, while the lower panels show the corresponding CDFs. The best-fitting Gaussian CDFs are shown in the lower panels (as dashed blue lines), with their mean and standard deviation displayed in the title of the upper panels. Additionally, Gaussians crafted with these parameters are shown in the upper panels (as dashed blue lines). The lowest Y bin in the upper-left panel, which is not shown completely, has a normalized frequency of 37.

Current usage metrics show cumulative count of Article Views (full-text article views including HTML views, PDF and ePub downloads, according to the available data) and Abstracts Views on Vision4Press platform.

Data correspond to usage on the plateform after 2015. The current usage metrics is available 48-96 hours after online publication and is updated daily on week days.

Initial download of the metrics may take a while.