Open Access
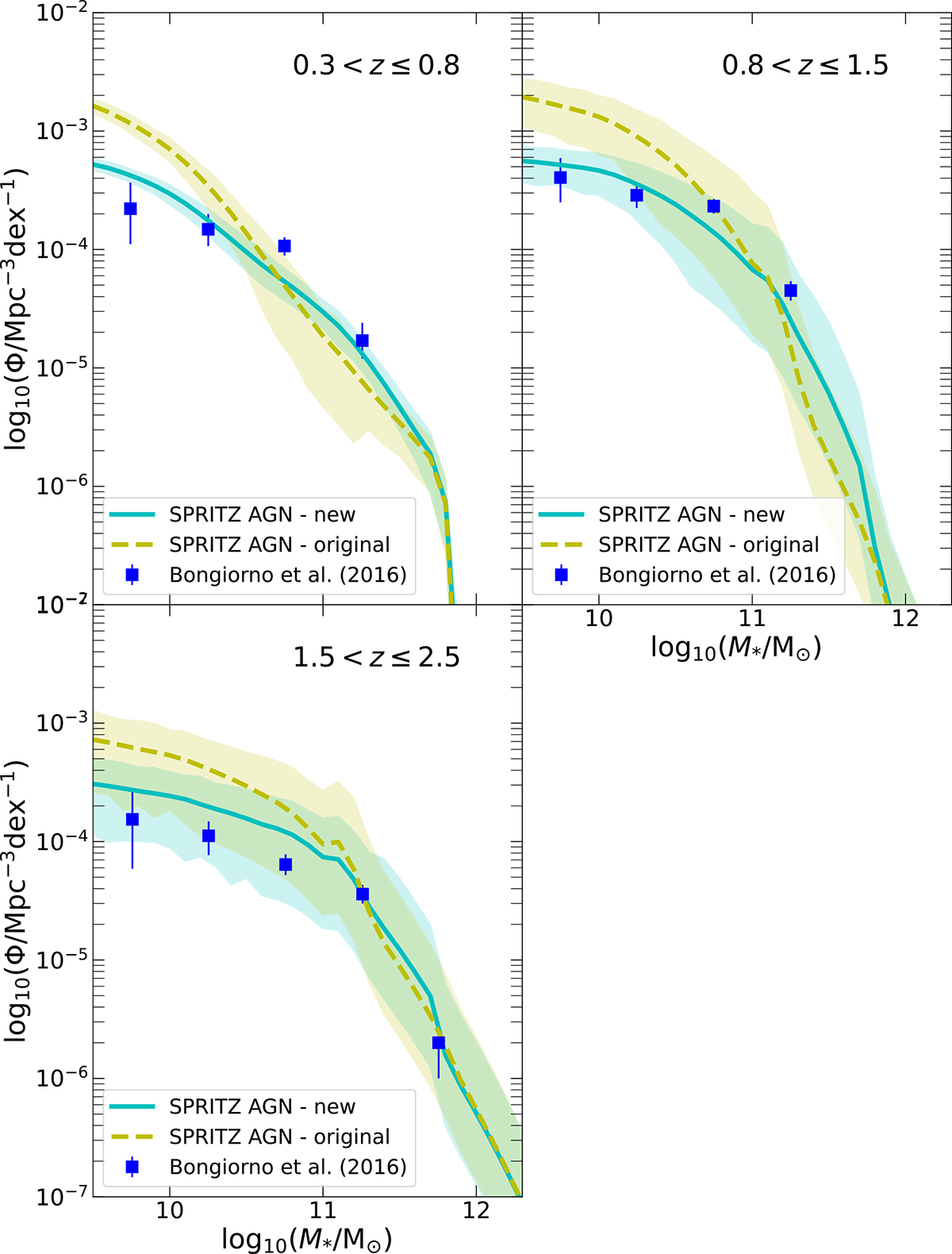
Fig. A.1.

Download original image
AGN GSMF observed by Bongiorno et al. (2016, blue squares) compared with the original (dashed yellow lines) and updated (solid cyan lines) SPRITZ AGN GSMFs. Shaded regions show the propagated uncertainties of the starting AGN infrared luminosity functions.
Current usage metrics show cumulative count of Article Views (full-text article views including HTML views, PDF and ePub downloads, according to the available data) and Abstracts Views on Vision4Press platform.
Data correspond to usage on the plateform after 2015. The current usage metrics is available 48-96 hours after online publication and is updated daily on week days.
Initial download of the metrics may take a while.