Open Access
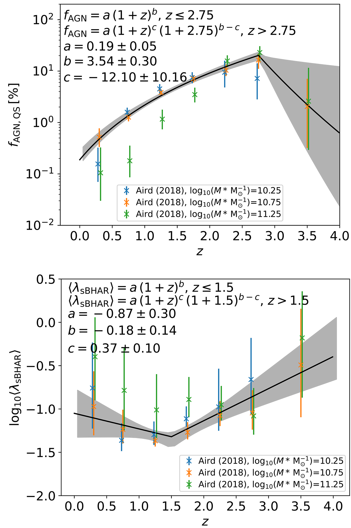
Fig. A.2.

Download original image
Observed relations used to include Ell-AGN in SPRITZ. Top: fraction of AGN among quiescent galaxies as a function of redshift. Bottom: average black-hole accretion rate as a function of redshift. Data points are slightly shifted horizontally for clarity.
Current usage metrics show cumulative count of Article Views (full-text article views including HTML views, PDF and ePub downloads, according to the available data) and Abstracts Views on Vision4Press platform.
Data correspond to usage on the plateform after 2015. The current usage metrics is available 48-96 hours after online publication and is updated daily on week days.
Initial download of the metrics may take a while.