Open Access
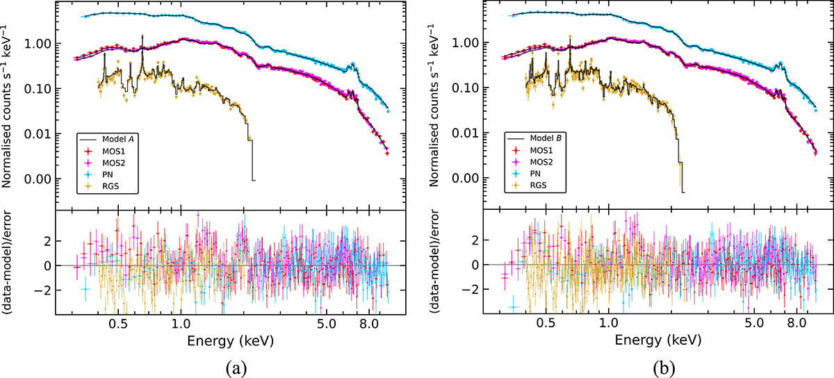
Fig. 4.

Download original image
MOS1, MOS2, PN, and RGS spectra of J0826 fitted simultaneously with (a) Model A and (b) Model B (see Sect. 4 for details). The bottom panel in each figure shows the χ2 contribution of data points for the respective model in terms of residual.
Current usage metrics show cumulative count of Article Views (full-text article views including HTML views, PDF and ePub downloads, according to the available data) and Abstracts Views on Vision4Press platform.
Data correspond to usage on the plateform after 2015. The current usage metrics is available 48-96 hours after online publication and is updated daily on week days.
Initial download of the metrics may take a while.