Open Access
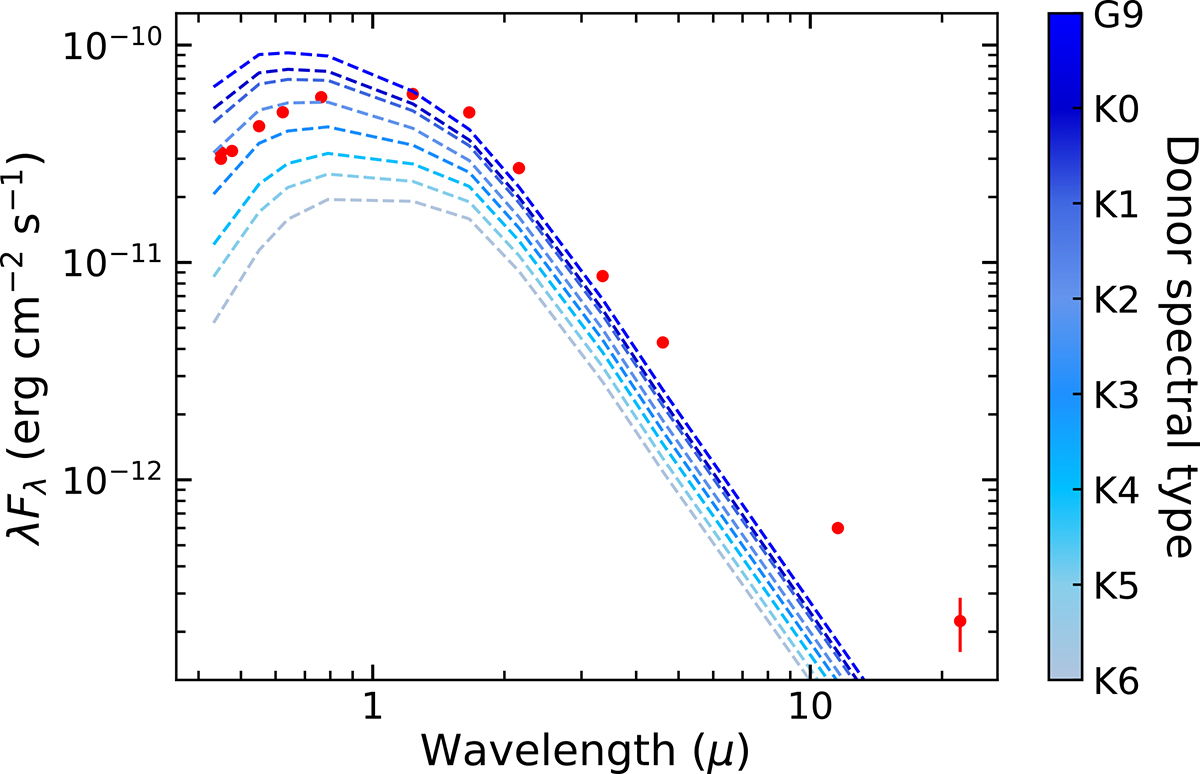
Fig. 7.

Download original image
Spectral energy distribution of J0826. The red filled circles represent the photometric data, while the dashed curves represent the donors of spectral type ranging from G9 to K6.
Current usage metrics show cumulative count of Article Views (full-text article views including HTML views, PDF and ePub downloads, according to the available data) and Abstracts Views on Vision4Press platform.
Data correspond to usage on the plateform after 2015. The current usage metrics is available 48-96 hours after online publication and is updated daily on week days.
Initial download of the metrics may take a while.