Open Access

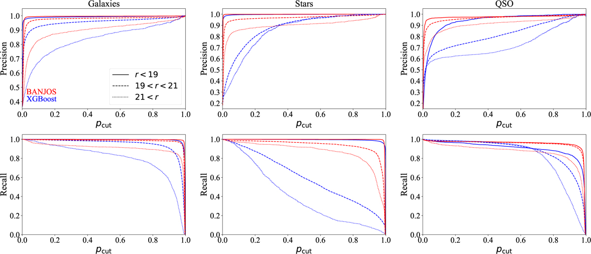
Fig. E.2

image

Download original image

Precision and Recall with respect to the probability. Top: Precision curves for vM24 and BANNJOS for the three classes in three different magnitude bins. The precision is computed as a function of the probability used to select each class ( pcut). In the case of BANNJOS we use the maximum of the median probability. Bottom: Corresponding Recall curves.

Current usage metrics show cumulative count of Article Views (full-text article views including HTML views, PDF and ePub downloads, according to the available data) and Abstracts Views on Vision4Press platform.

Data correspond to usage on the plateform after 2015. The current usage metrics is available 48-96 hours after online publication and is updated daily on week days.

Initial download of the metrics may take a while.