Open Access

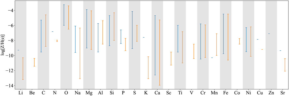
Fig. 4

image

Download original image

Upper and lower abundance bounds for all metals detected in H- (blue) and He- (orange) dominated white dwarf atmospheres. The absence of a bound means that the metal has not been observed (Be and Co in a H-dominated white dwarf atmosphere). The single dashes represent metals that have only been detected in a single white dwarf of a certain atmosphere composition.

Current usage metrics show cumulative count of Article Views (full-text article views including HTML views, PDF and ePub downloads, according to the available data) and Abstracts Views on Vision4Press platform.

Data correspond to usage on the plateform after 2015. The current usage metrics is available 48-96 hours after online publication and is updated daily on week days.

Initial download of the metrics may take a while.