Open Access

Fig. 3

image

Download original image

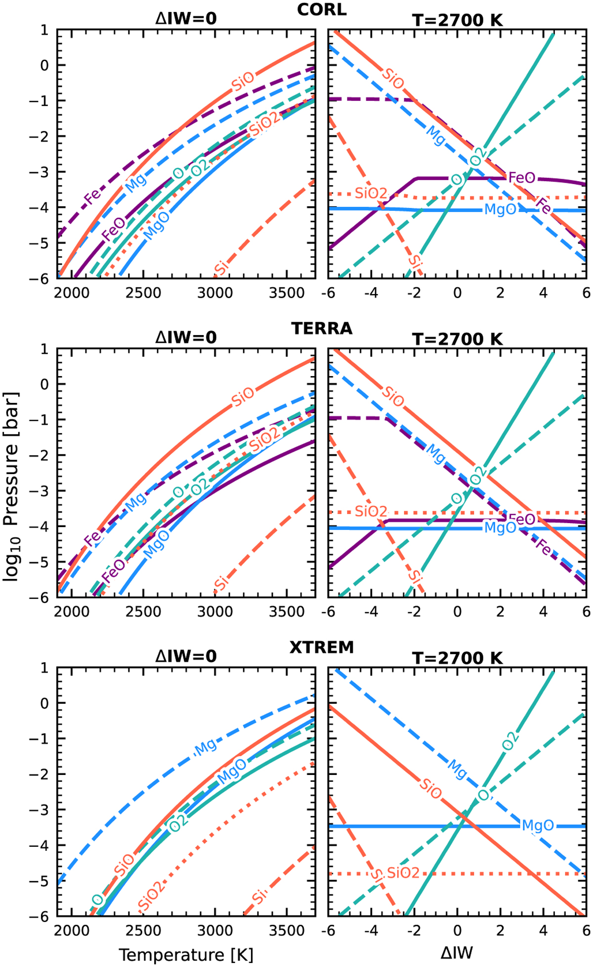
Vapour composition directly above the magma ocean as a function of temperature (left) and oxygen fugacity (right) for three representative mantle compositions in our sample: the composition for a coreless planet, CORL (top), the Earth-analogue TERRA (center) and the extremely silicon-depleted XTREM (bottom); see Table 2 for the respective compositions.

Current usage metrics show cumulative count of Article Views (full-text article views including HTML views, PDF and ePub downloads, according to the available data) and Abstracts Views on Vision4Press platform.

Data correspond to usage on the plateform after 2015. The current usage metrics is available 48-96 hours after online publication and is updated daily on week days.

Initial download of the metrics may take a while.