Open Access

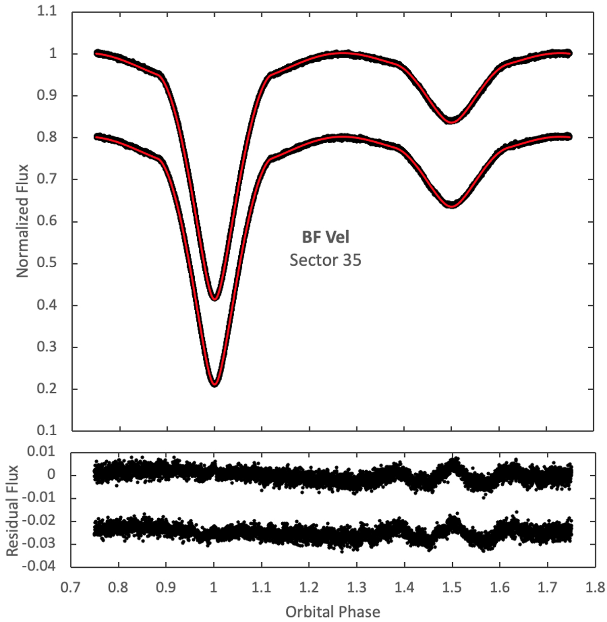
Fig. 10.

image

Download original image

Two light curves of TESS Sector 35 (with a 2-min cadence) obtained in two different consecutive orbits of BF Vel and the WD model fitting. Residuals to the model are plotted on the bottom panel.

Current usage metrics show cumulative count of Article Views (full-text article views including HTML views, PDF and ePub downloads, according to the available data) and Abstracts Views on Vision4Press platform.

Data correspond to usage on the plateform after 2015. The current usage metrics is available 48-96 hours after online publication and is updated daily on week days.

Initial download of the metrics may take a while.