Fig. 10.

Download original image
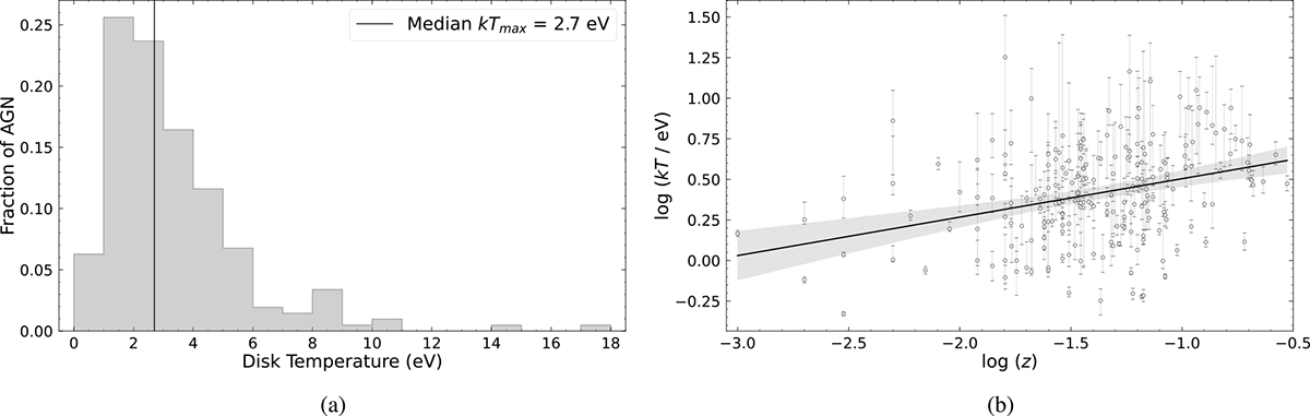
Maximum disk temperature (kTmax) as obtained after fitting the optical/UV SEDs of our source sample with a dust-extinction-corrected thermal disk model (described in Sect. 6). (a) Distribution of the best-fit values of kTmax. The median value of kTmax from this distribution is 2.7 eV. (b) kTmax as a function of the redshift of the source. The solid black line shows the best-fit relation (Sect. 7.2.1, Table 2) and the shaded gray region displays the uncertainty on the regression.
Current usage metrics show cumulative count of Article Views (full-text article views including HTML views, PDF and ePub downloads, according to the available data) and Abstracts Views on Vision4Press platform.
Data correspond to usage on the plateform after 2015. The current usage metrics is available 48-96 hours after online publication and is updated daily on week days.
Initial download of the metrics may take a while.