Fig. 19.

Download original image
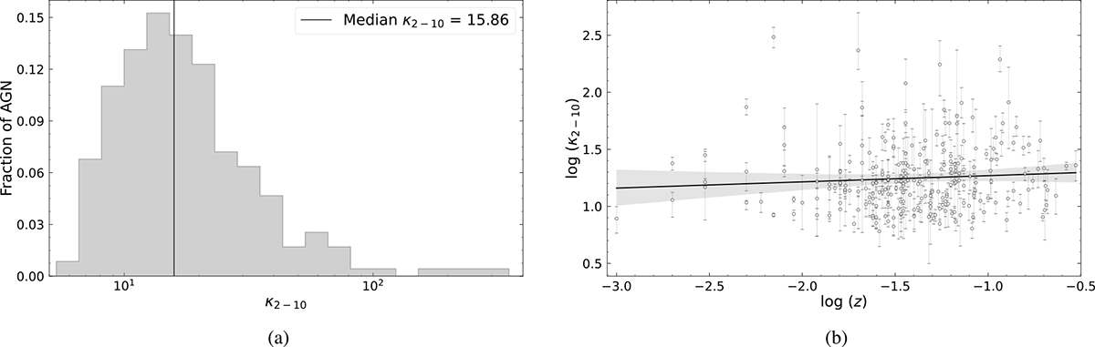
Soft X-ray bolometric correction (κ2 − 10) for our sample of hard-X-ray-selected nearby, unobscured AGN. (a) Distribution of κ2 − 10 and (b) κ2 − 10 as a function of the redshift. The solid black line shows the best-fit relation to the data and the shaded gray region represents the uncertainty in the linear fit. We do not find any significant dependence of κ2 − 10 on redshift.
Current usage metrics show cumulative count of Article Views (full-text article views including HTML views, PDF and ePub downloads, according to the available data) and Abstracts Views on Vision4Press platform.
Data correspond to usage on the plateform after 2015. The current usage metrics is available 48-96 hours after online publication and is updated daily on week days.
Initial download of the metrics may take a while.