Open Access

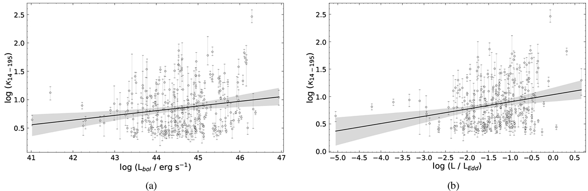
Fig. 28.

image

Download original image

14–195 keV bolometric correction as a function of (a) the bolometric luminosity and (b) the Eddington ratio. We find a significant correlation in both cases (Sect. 7.4.3, Table 4) shown as the black line. The shaded region is the one sigma confidence interval for the linear regression line.

Current usage metrics show cumulative count of Article Views (full-text article views including HTML views, PDF and ePub downloads, according to the available data) and Abstracts Views on Vision4Press platform.

Data correspond to usage on the plateform after 2015. The current usage metrics is available 48-96 hours after online publication and is updated daily on week days.

Initial download of the metrics may take a while.