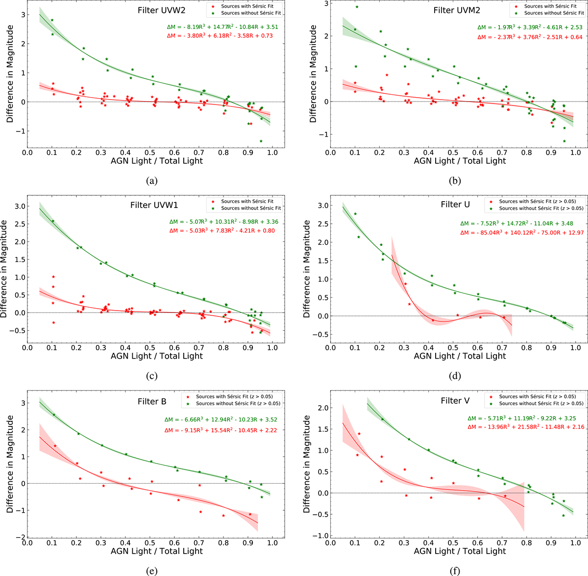
Fig. 5.

Download original image
Difference between the PSF magnitudes estimated by GALFIT and the actual magnitude of the point source used to replicate the AGN at the center of the simulated type I AGN population (ΔM) vs. the AGN light ratio (Rlight) for all six Swift/UVOT filters, (a) UVW2, (b) UVM2, (c) UVW1, (d) U, (e) B, and (f) V, based on simulations (described in Appendix B). The plots also show the best-fit function and their equations for both cases: when a Sérsic profile fit was obtained (in red) and when a fit with a Sérsic profile fit was not possible (in green). The equations mentioned in each figure were then used to calculate the corresponding corrections to improve the PSF magnitudes estimated by GALFIT during the source image decomposition to obtain the AGN light devoid of host galaxy contamination (see Sect. 5.3).
Current usage metrics show cumulative count of Article Views (full-text article views including HTML views, PDF and ePub downloads, according to the available data) and Abstracts Views on Vision4Press platform.
Data correspond to usage on the plateform after 2015. The current usage metrics is available 48-96 hours after online publication and is updated daily on week days.
Initial download of the metrics may take a while.