Fig. 6.

Download original image
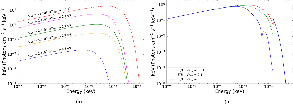
Optical/UV SED model adopted for this study (a) without absorption, for different values of kTmax (dash-dotted lines), keeping Kuvo constant at 2 × 105, and for different values of Kuvo (dashed lines), keeping kTmax constant at 2.7 eV and (b) with absorption, for different values of E(B − V)HG, with kTmax = 2.7 eV, Kuvo = 2 × 105, and E(B − V)MW = 0.05. The former plot shows possible degeneracy between parameters kTmax and Kuvo, while the latter shows effects of host galaxy dust extinction on the optical/UV SED model, almost negligible for E(B − V)HG ≤ 0.01.
Current usage metrics show cumulative count of Article Views (full-text article views including HTML views, PDF and ePub downloads, according to the available data) and Abstracts Views on Vision4Press platform.
Data correspond to usage on the plateform after 2015. The current usage metrics is available 48-96 hours after online publication and is updated daily on week days.
Initial download of the metrics may take a while.