Fig. 11

Download original image
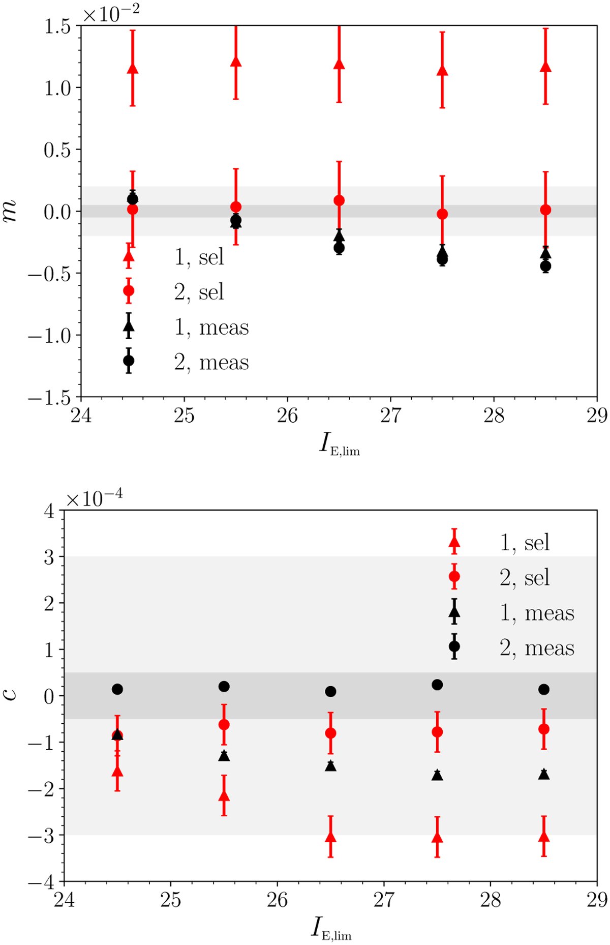
Multiplicative and additive biases for measurement and selection as a function of the intrinsic limiting magnitude in the simulations for a PSF chosen at the centre of the field of view. The triangles and circles denote each of the two components. Shaded areas are the Euclid requirements. The measurement bias shows varying trends with the limiting magnitude and asymmetries between components in some cases. (See text for discussion.)
Current usage metrics show cumulative count of Article Views (full-text article views including HTML views, PDF and ePub downloads, according to the available data) and Abstracts Views on Vision4Press platform.
Data correspond to usage on the plateform after 2015. The current usage metrics is available 48-96 hours after online publication and is updated daily on week days.
Initial download of the metrics may take a while.