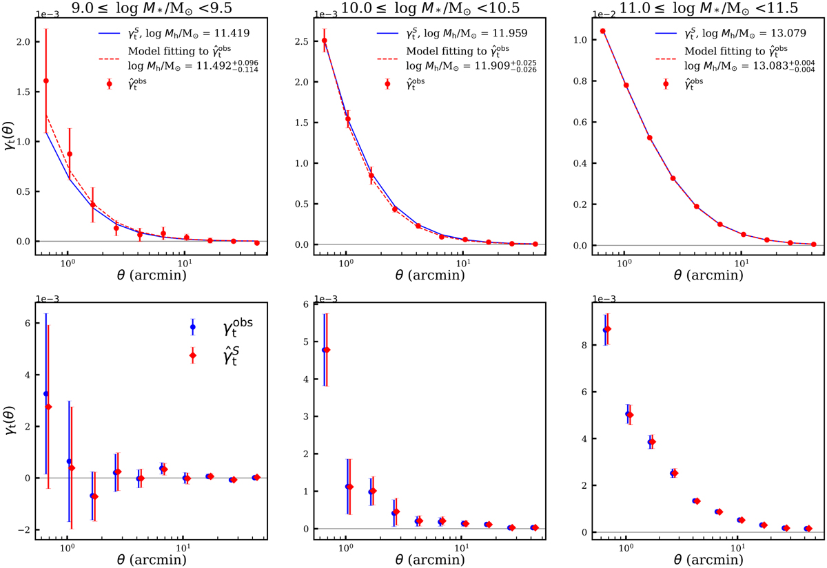
Fig. 3

Download original image
Effect of PSF-induced systematics in UNIONS weak lensing by the theory-based and observation-based approaches. Different columns correspond to the results of galaxy samples in different stellar mass bins. In each upper panel, the solid blue line is the theoretical , while the red circles with error bars and the dashed red line are the estimator of the observed tangential shear (
) and model fitting, respectively. Their corresponding halo masses are also labeled in the panel. In each lower panel, the blue and red symbols with error bars correspond to the observed tangential shear
calculated from the UNIONS shear catalog and the estimator of the true tangential shear
, respectively.
Current usage metrics show cumulative count of Article Views (full-text article views including HTML views, PDF and ePub downloads, according to the available data) and Abstracts Views on Vision4Press platform.
Data correspond to usage on the plateform after 2015. The current usage metrics is available 48-96 hours after online publication and is updated daily on week days.
Initial download of the metrics may take a while.