Fig. 10

Download original image
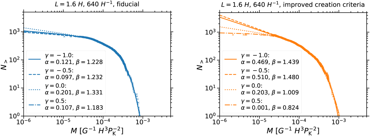
Cumulative mass distributions at the end of simulations with the fiducial (left panel) and the improved sink particle creation criteria (right panel) but excluding mutual sink particle accretion. The mass distributions are fitted with an exponentially tapered power law (see Eq. (8)). The uncertainty of the cumulative numbers N>(M) is assumed to be proportional to N>(M)Mγ, with fits for different choices of γ being shown. While for the fiducial creation criteria γ = 0 yields the fit with the largest exponents of power-law part α and exponential tapering β, the two exponents are highest if γ = −0.5 for the improved creation criteria. In both cases, this comparatively steep power law appears to fit the numbers at intermediate masses best.
Current usage metrics show cumulative count of Article Views (full-text article views including HTML views, PDF and ePub downloads, according to the available data) and Abstracts Views on Vision4Press platform.
Data correspond to usage on the plateform after 2015. The current usage metrics is available 48-96 hours after online publication and is updated daily on week days.
Initial download of the metrics may take a while.