Open Access

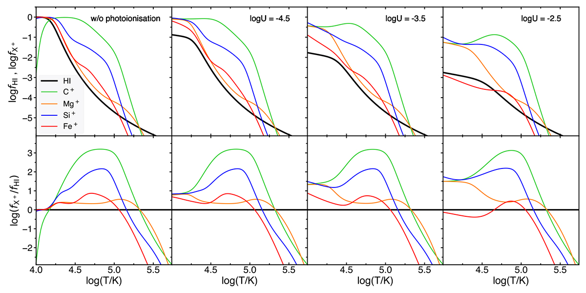
Fig. 1.

image

Download original image

Top: Fraction of H I, Mg+, Si+, Fe+, and C+ as a function of temperature, assuming collisional ionisation equilibrium (first column) and photoionisation equilibrium (other columns). Ionisation fractions have been computed with CLOUDY using solar abundance ratios and constant gas density. For photoionisation models, we use incident stellar radiation fields from BPASS 2.2.1 assuming solar metallicity and parametrised by various ionisation parameter values : log U = −4.5, −3.5, and −2.5 (see text for details). Bottom: Relative singly-ionised metal fractions with respect to hydrogen neutral fraction.

Current usage metrics show cumulative count of Article Views (full-text article views including HTML views, PDF and ePub downloads, according to the available data) and Abstracts Views on Vision4Press platform.

Data correspond to usage on the plateform after 2015. The current usage metrics is available 48-96 hours after online publication and is updated daily on week days.

Initial download of the metrics may take a while.