Open Access
Fig. 3.

Download original image
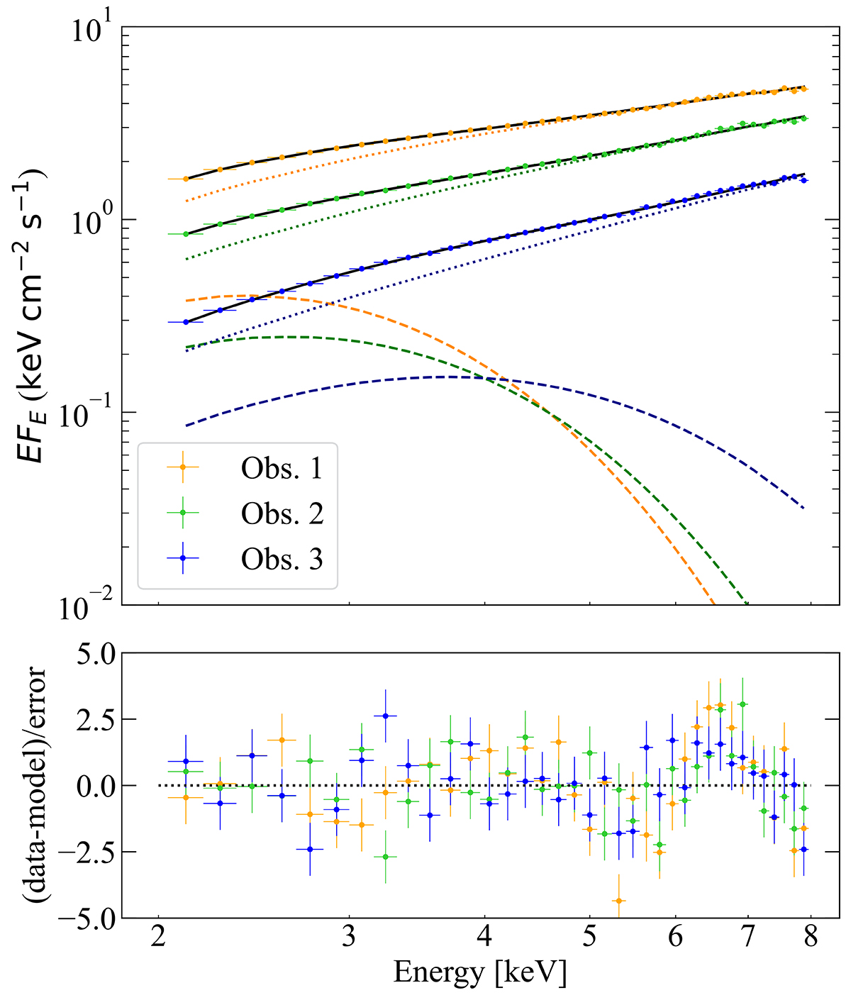
IXPE spectra of J0243 in EFE representation. The red, green, and blue symbols and lines correspond to Obs. 1, 2, and 3, respectively. The solid, dashed, and dotted lines show the total model spectrum, the blackbody, and the power law, respectively. The bottom panel shows the fit residuals.
Current usage metrics show cumulative count of Article Views (full-text article views including HTML views, PDF and ePub downloads, according to the available data) and Abstracts Views on Vision4Press platform.
Data correspond to usage on the plateform after 2015. The current usage metrics is available 48-96 hours after online publication and is updated daily on week days.
Initial download of the metrics may take a while.