Fig. 9.

Download original image
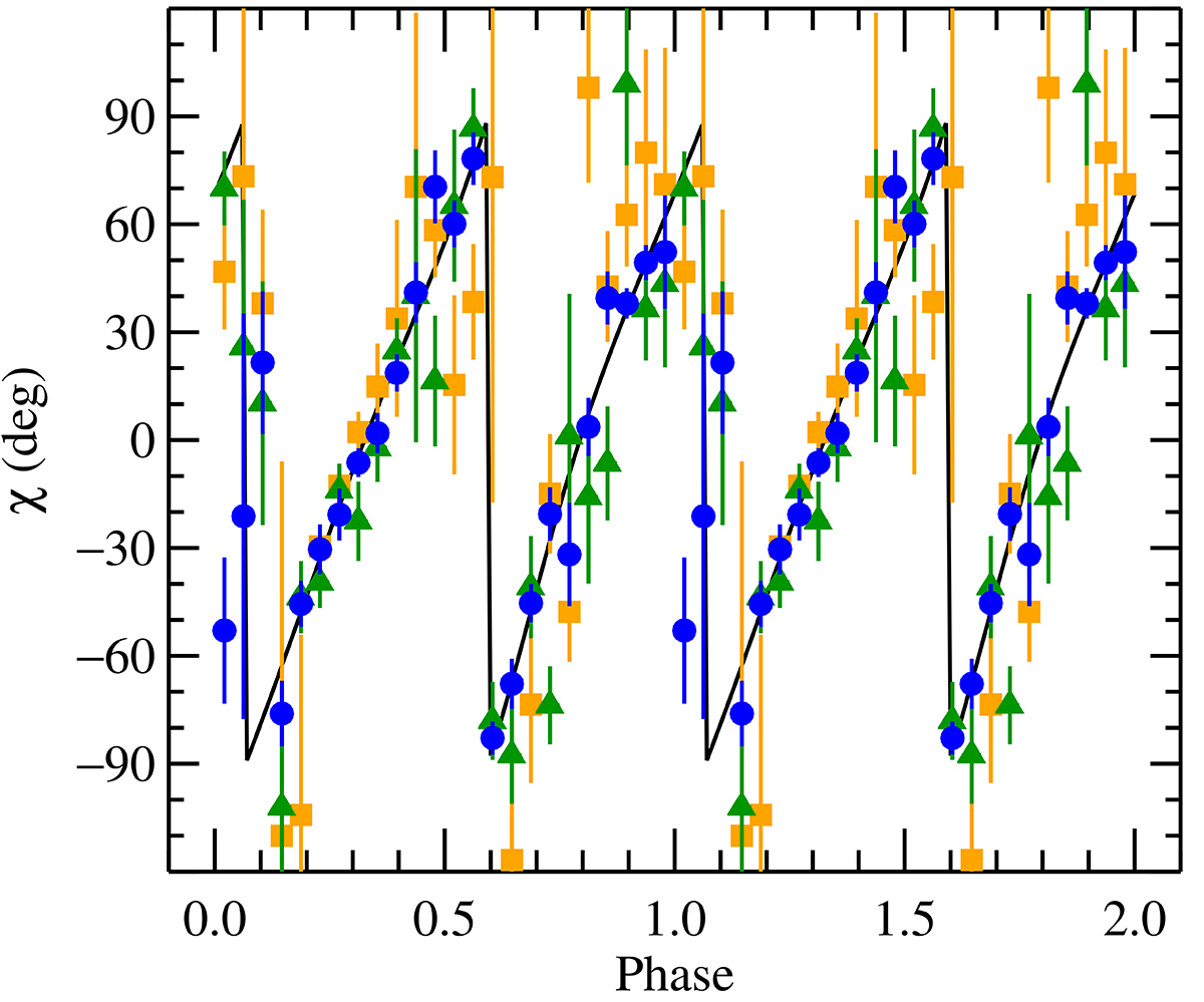
Pulse-phase dependence of the PA of the variable (pulsar) components after subtracting the best-fit constant polarized component from the observed Stokes parameters. The orange squares, green triangles, and blue circles with error bars correspond to Obs. 1, 2, and 3, respectively. The black line is the best-fit RVM from the two-component model (see lower part of Table 6) to all three data sets.
Current usage metrics show cumulative count of Article Views (full-text article views including HTML views, PDF and ePub downloads, according to the available data) and Abstracts Views on Vision4Press platform.
Data correspond to usage on the plateform after 2015. The current usage metrics is available 48-96 hours after online publication and is updated daily on week days.
Initial download of the metrics may take a while.