Fig. 3

Download original image
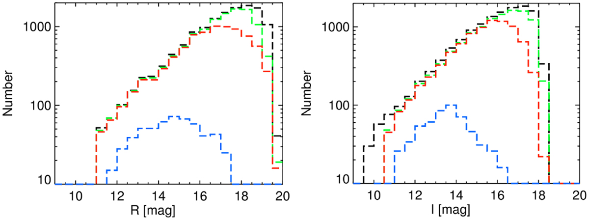
Distribution of star brightness in R (left) and I (right) bands. The black lines represent the initial distribution of 13186 sources in R and 12898 in I. The green line illustrates the distribution of 11889 sources with matched light curves in both bands. The red line corresponds to 8197 stars identified by high-precision photometry with simultaneous detections in R, I, and 2MASS photometry with AAA qualifiers in JHK bands. The blue line represents the 561 variable sources.
Current usage metrics show cumulative count of Article Views (full-text article views including HTML views, PDF and ePub downloads, according to the available data) and Abstracts Views on Vision4Press platform.
Data correspond to usage on the plateform after 2015. The current usage metrics is available 48-96 hours after online publication and is updated daily on week days.
Initial download of the metrics may take a while.