Open Access
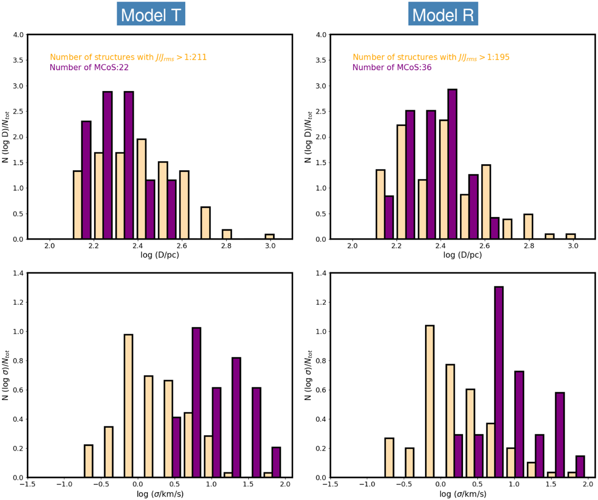
Fig. 5

Download original image
Histograms of MCoS sizes (top) and internal velocity dispersions (bottom) in the 500 Myr snapshot of the two models. The light orange histograms correspond to clusters of locations with J/Jrms > 1, and purple to clusters of locations with J/Jrms > (J/Jrms)c, which we identify as MCoSs.
Current usage metrics show cumulative count of Article Views (full-text article views including HTML views, PDF and ePub downloads, according to the available data) and Abstracts Views on Vision4Press platform.
Data correspond to usage on the plateform after 2015. The current usage metrics is available 48-96 hours after online publication and is updated daily on week days.
Initial download of the metrics may take a while.