Fig. 9.

Download original image
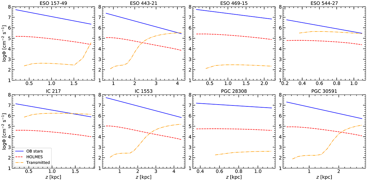
Contributions of different components to the ionizing radiation for the best fit models. Blue solid lines shows the contribution from midplane OB stars, red dashed line shows the contribution from HOLMES, and the orange dot-dashed line shows the contribution of transmitted radiation. The transition from ionization bounded clouds to density bounded clouds is visible as a steep upturn in the contribution of transmitted radiation.
Current usage metrics show cumulative count of Article Views (full-text article views including HTML views, PDF and ePub downloads, according to the available data) and Abstracts Views on Vision4Press platform.
Data correspond to usage on the plateform after 2015. The current usage metrics is available 48-96 hours after online publication and is updated daily on week days.
Initial download of the metrics may take a while.