Open Access
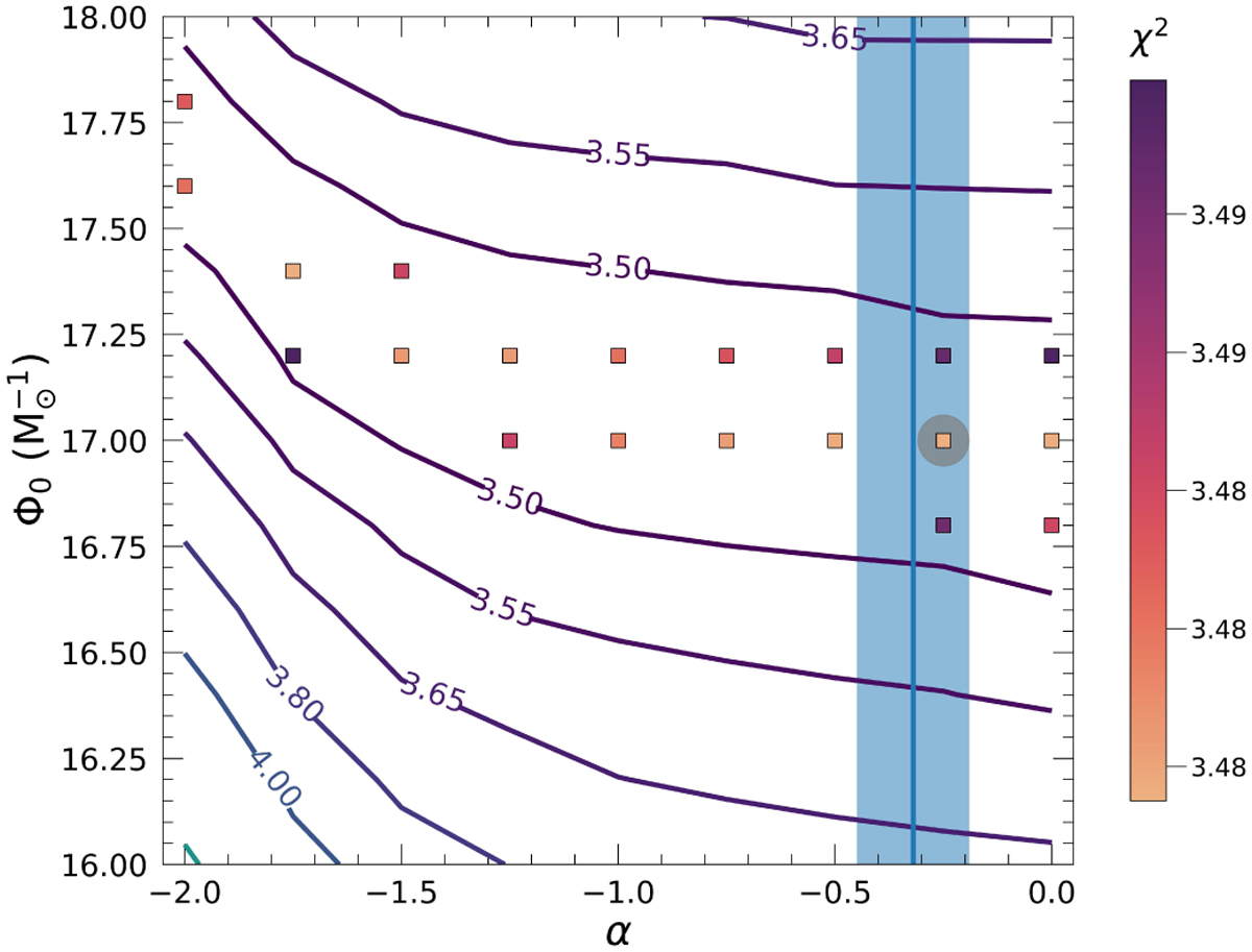
Fig. 3

Download original image
Contour plot for NGC 6397 in the Φ0−α plane, showing the χ2 levels. The blue band gives the slope from Baumgardt et al. (2023). Squares indicate the χ2 values around the minimum, which is identified by a large gray circle.
Current usage metrics show cumulative count of Article Views (full-text article views including HTML views, PDF and ePub downloads, according to the available data) and Abstracts Views on Vision4Press platform.
Data correspond to usage on the plateform after 2015. The current usage metrics is available 48-96 hours after online publication and is updated daily on week days.
Initial download of the metrics may take a while.