Open Access

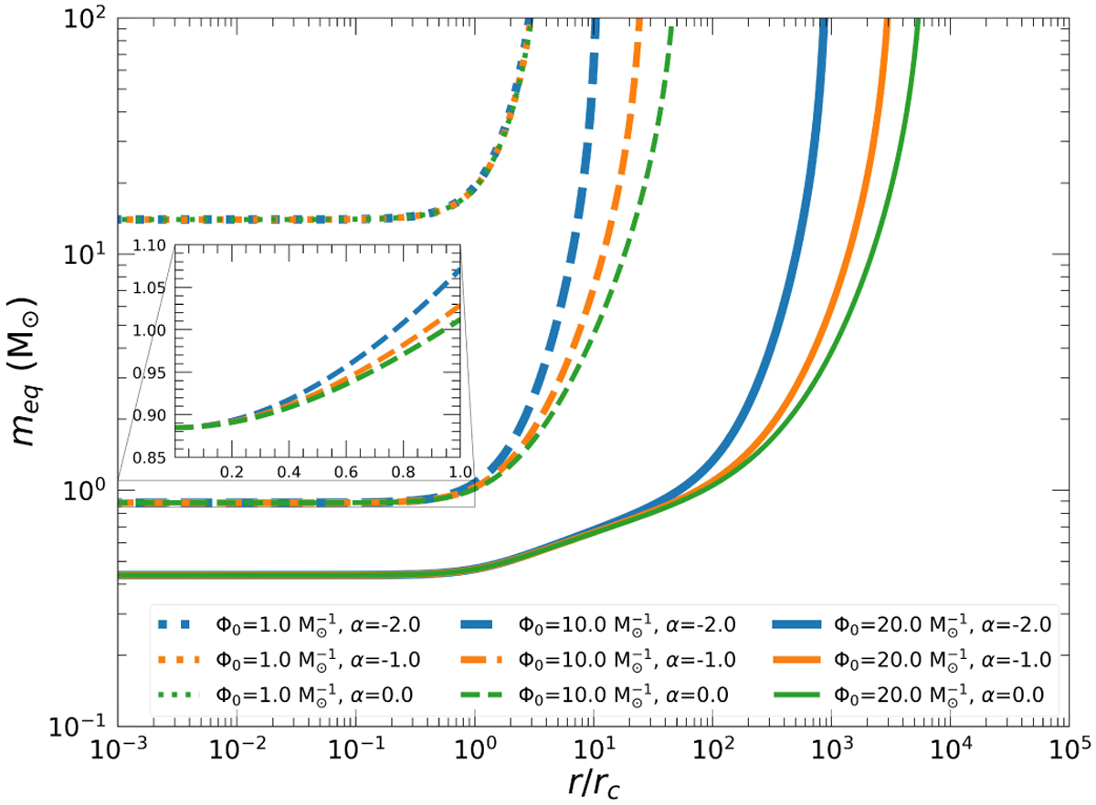
Fig. 5

image

Download original image

Theoretical radial profile of the equipartition mass obtained for different values of the model parameters Φ0 (same line style) and α(same colors and line width). The panel zooms onto the core region rrc.

Current usage metrics show cumulative count of Article Views (full-text article views including HTML views, PDF and ePub downloads, according to the available data) and Abstracts Views on Vision4Press platform.

Data correspond to usage on the plateform after 2015. The current usage metrics is available 48-96 hours after online publication and is updated daily on week days.

Initial download of the metrics may take a while.