Open Access

Fig. 6

image

Download original image

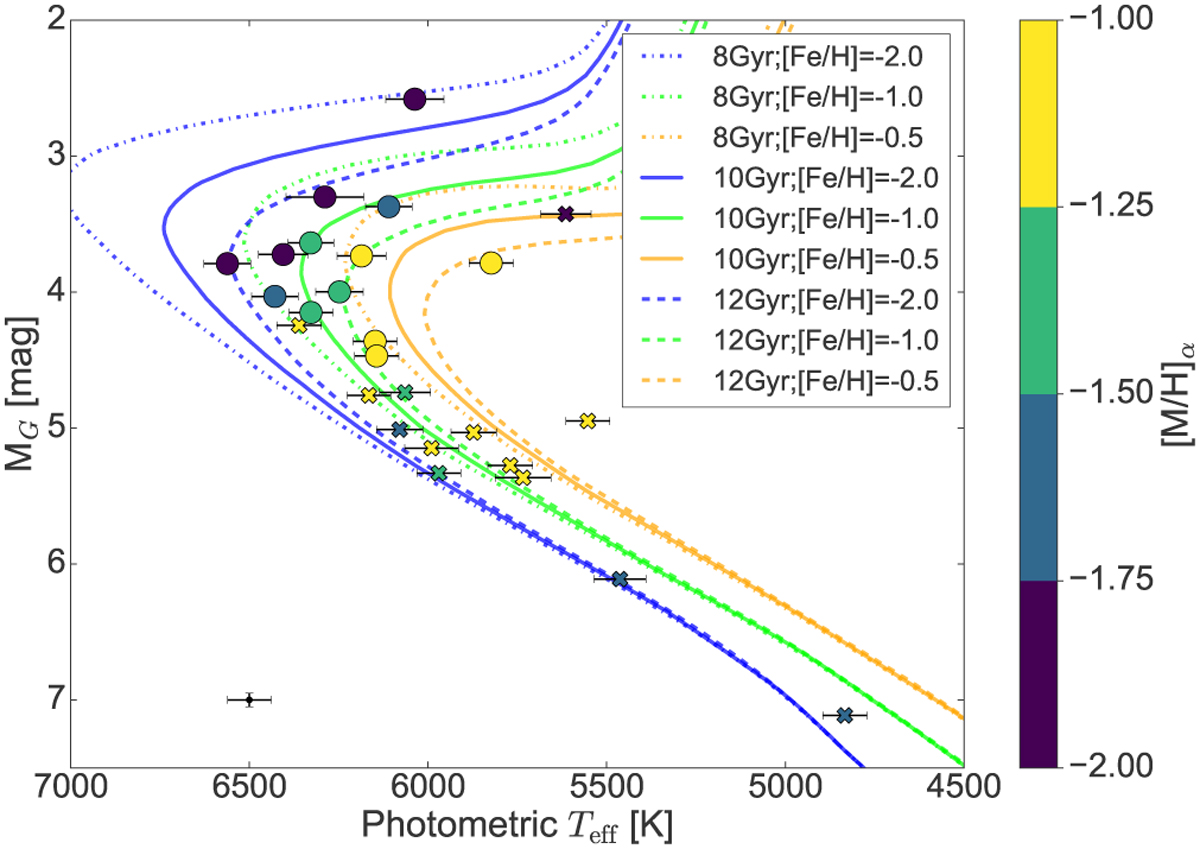
MG-Teff diagram of 26 dwarf stars with age estimates. Age input parameter uncertainties are shown with error bars, with the minimum uncertainty indicated in the bottom left corner. The circles represent the 13 stars with reliable ages and crosses represent the 13 stars with unreliable ages, both colour-coded by the adjusted metallicity ([M/H]α). PARSEC isochrones are plotted according to the legend.

Current usage metrics show cumulative count of Article Views (full-text article views including HTML views, PDF and ePub downloads, according to the available data) and Abstracts Views on Vision4Press platform.

Data correspond to usage on the plateform after 2015. The current usage metrics is available 48-96 hours after online publication and is updated daily on week days.

Initial download of the metrics may take a while.