Open Access

Fig. 10

image

Download original image

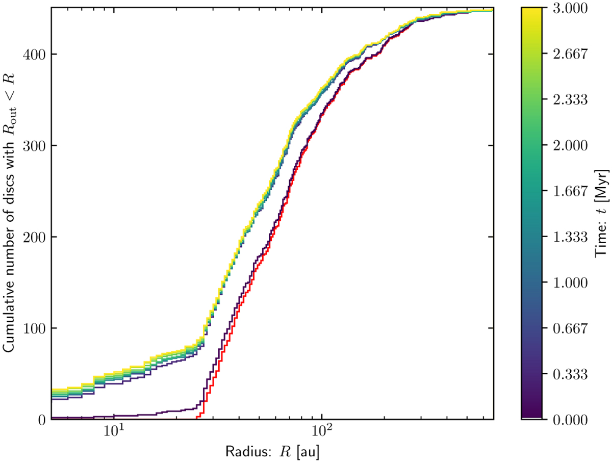
Disc outer radius Rout evolution for the population of stars with m* > 0.08 M in our simulation. The colour bar shows the time at which the distribution is measured. The initial outer radius distribution is shown in red.

Current usage metrics show cumulative count of Article Views (full-text article views including HTML views, PDF and ePub downloads, according to the available data) and Abstracts Views on Vision4Press platform.

Data correspond to usage on the plateform after 2015. The current usage metrics is available 48-96 hours after online publication and is updated daily on week days.

Initial download of the metrics may take a while.