Open Access
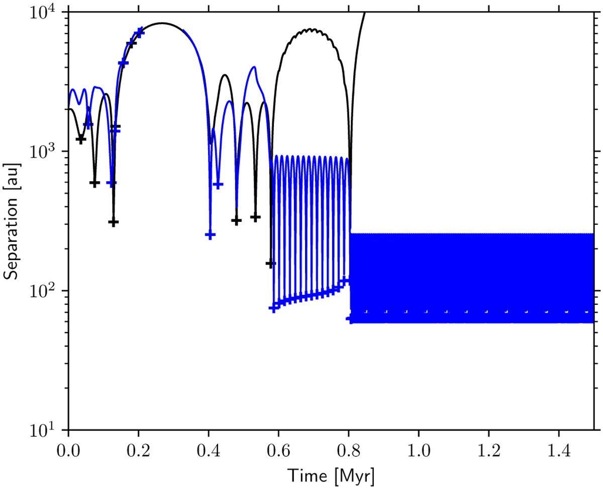
Fig. A.2

Download original image
Example of a chaotic multiple interaction in our fiducial model. We show the separation of two neighbouring stars from a third star as a function of time. Crosses mark the location where the closest encounter is recorded by our post-processing analysis.
Current usage metrics show cumulative count of Article Views (full-text article views including HTML views, PDF and ePub downloads, according to the available data) and Abstracts Views on Vision4Press platform.
Data correspond to usage on the plateform after 2015. The current usage metrics is available 48-96 hours after online publication and is updated daily on week days.
Initial download of the metrics may take a while.