Fig. 1

Download original image
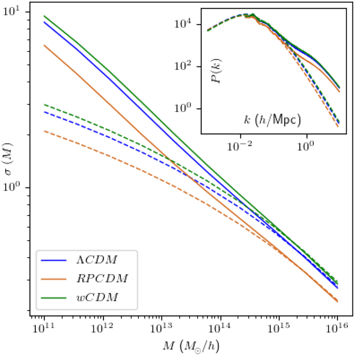
Root-mean-square (rms) fluctuations as a function of the smoothing mass M. The RMS σL of the linear power spectrum (calculated by CAMB) are dotted lines. The RMS σNL of the nonlinear power spectrum (calculated from z = 0 snapshots of DEUS simulations) are in solid lines. σNL(M) behaves essentially as a power law whose slope and intercept depend on the cosmology. The inner panel contains the corresponding linear and nonlinear power spectra, PL and PNL. At high mass (or low k), the linear and nonlinear rms fluctuations (as well as the power spectra) are superimposed, as expected.
Current usage metrics show cumulative count of Article Views (full-text article views including HTML views, PDF and ePub downloads, according to the available data) and Abstracts Views on Vision4Press platform.
Data correspond to usage on the plateform after 2015. The current usage metrics is available 48-96 hours after online publication and is updated daily on week days.
Initial download of the metrics may take a while.