Fig. 10

Download original image
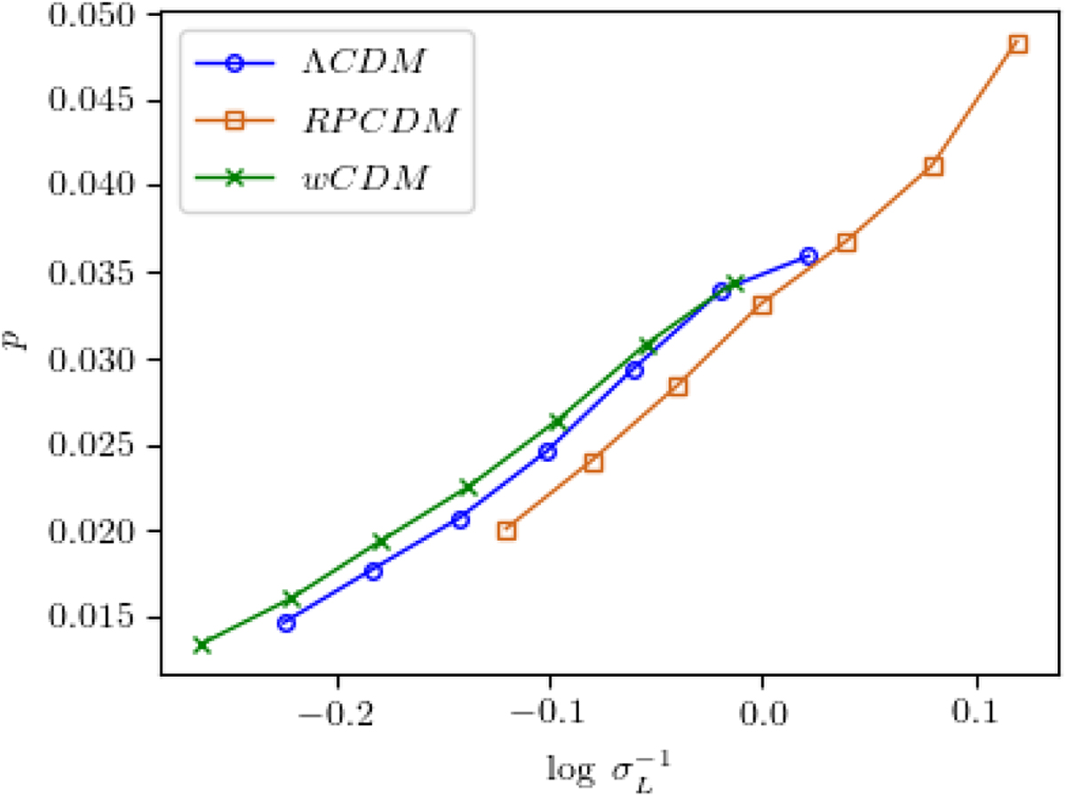
Median prolaticity as a function of log σL(M)−1. The curves corresponding to the different dark energy models are closer to each other, comparatively to Figure 8 in which median prolaticity was plotted against halo mass. This proves that the linear power spectrum only partly explains the cosmological dependence of the relationship between halo mass and prolaticity.
Current usage metrics show cumulative count of Article Views (full-text article views including HTML views, PDF and ePub downloads, according to the available data) and Abstracts Views on Vision4Press platform.
Data correspond to usage on the plateform after 2015. The current usage metrics is available 48-96 hours after online publication and is updated daily on week days.
Initial download of the metrics may take a while.