Open Access
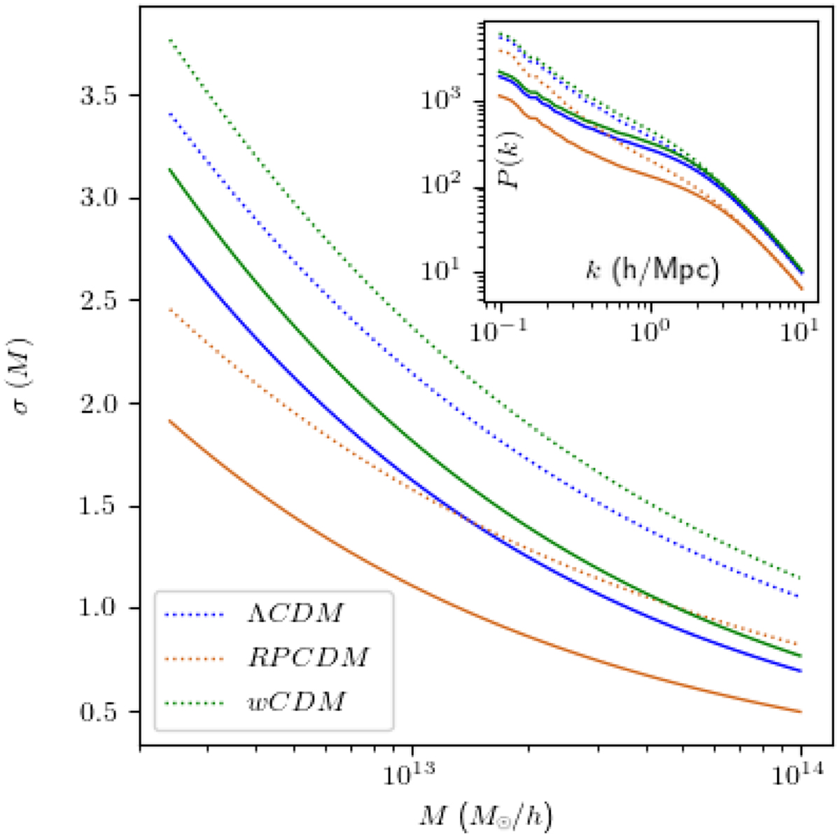
Fig. 11

Download original image
Nonlinear power spectra computed using all z = 0 particles (dotted lines) or only those belonging to FoF halos, whose mass exceeds 2.3 · 1012 M⊙/h (solid lines). In the inner panel, the corresponding nonlinear power spectra.
Current usage metrics show cumulative count of Article Views (full-text article views including HTML views, PDF and ePub downloads, according to the available data) and Abstracts Views on Vision4Press platform.
Data correspond to usage on the plateform after 2015. The current usage metrics is available 48-96 hours after online publication and is updated daily on week days.
Initial download of the metrics may take a while.