Fig. 12

Download original image
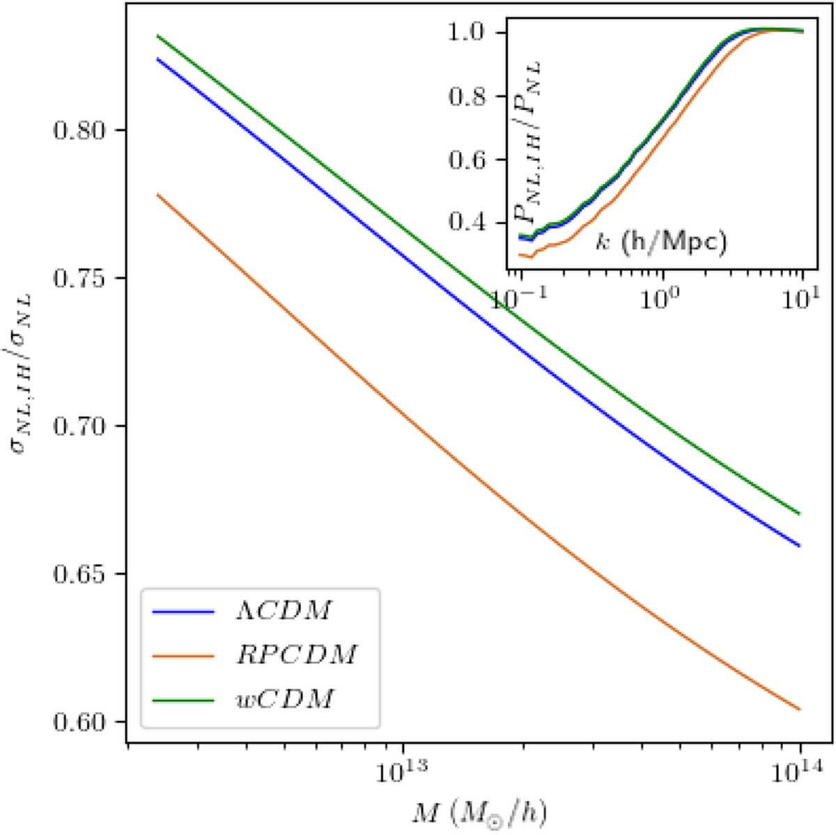
Relative contribution of the matter inside the halos to the variance of the total nonlinear power spectrum, σNL,IH/σNL. Manifestly, this ratio heavily depends on cosmology. It is worth noticing that even for low-mass halos, the matter inside the halos explains only 80 percent of the variance. In the inner panel, the corresponding ratio for the power spectra.
Current usage metrics show cumulative count of Article Views (full-text article views including HTML views, PDF and ePub downloads, according to the available data) and Abstracts Views on Vision4Press platform.
Data correspond to usage on the plateform after 2015. The current usage metrics is available 48-96 hours after online publication and is updated daily on week days.
Initial download of the metrics may take a while.