Fig. 16

Download original image
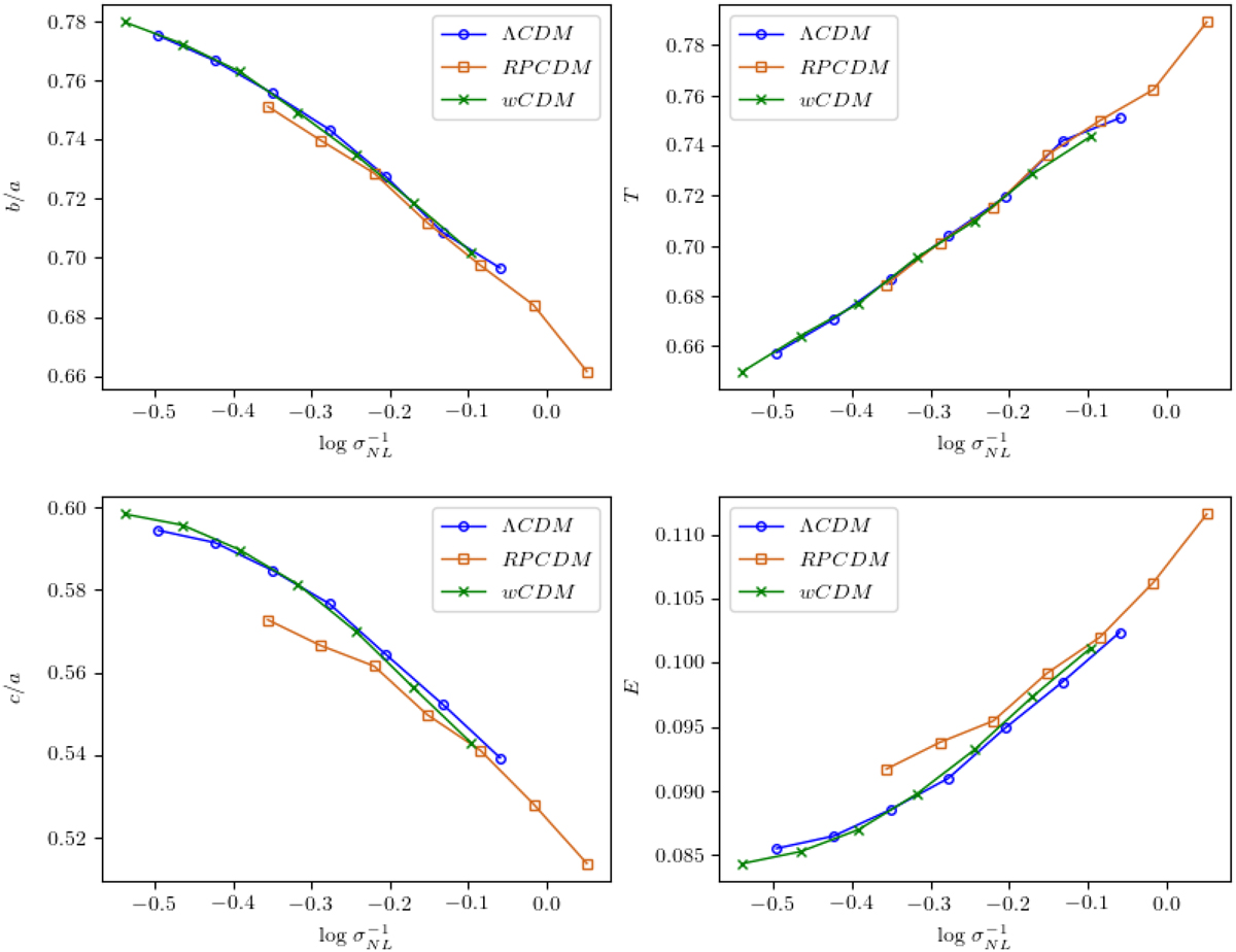
Dependence of the other DM halo shape parameters on the nonlinear fluctuations of the cosmic matter field inside the halos for the three cosmological models. Upper-left panel: median middle-to-major axis ratio versus log σNL(M)−1. Upper-right panel: Median triaxiality versus log σNL(M)−1. Lower-left panel: median minor-to-major axis ratio versus log σNL(M)−1. Lower-right panel: median ellipticity versus log σNL(M)−1.
Current usage metrics show cumulative count of Article Views (full-text article views including HTML views, PDF and ePub downloads, according to the available data) and Abstracts Views on Vision4Press platform.
Data correspond to usage on the plateform after 2015. The current usage metrics is available 48-96 hours after online publication and is updated daily on week days.
Initial download of the metrics may take a while.