Open Access
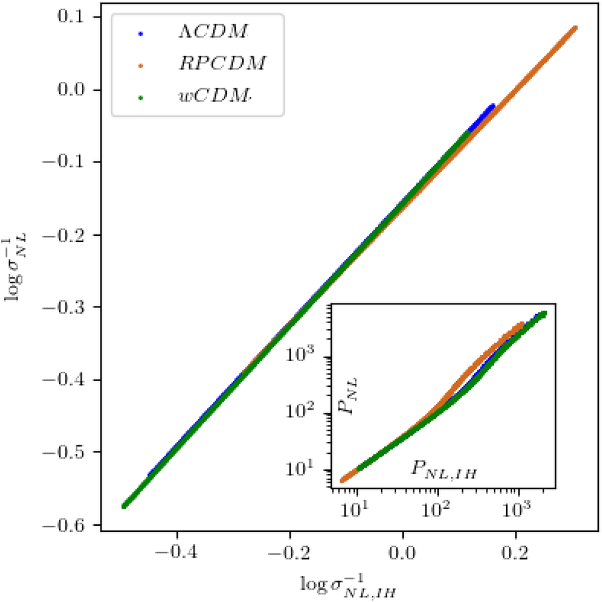
Fig. 17

Download original image
Mapping between variances of total and in-halo nonlinear power spectra. For the mass scales probed by the simulation, M ∈ [2.3 · 1012, 1014]M⊙/h, it consists in the scatter plots for each cosmology. Those superpose, meaning that σNL is a single-valued universal function of σNL,IH. This function is manifestly a power law.
Current usage metrics show cumulative count of Article Views (full-text article views including HTML views, PDF and ePub downloads, according to the available data) and Abstracts Views on Vision4Press platform.
Data correspond to usage on the plateform after 2015. The current usage metrics is available 48-96 hours after online publication and is updated daily on week days.
Initial download of the metrics may take a while.