Fig. 22

Download original image
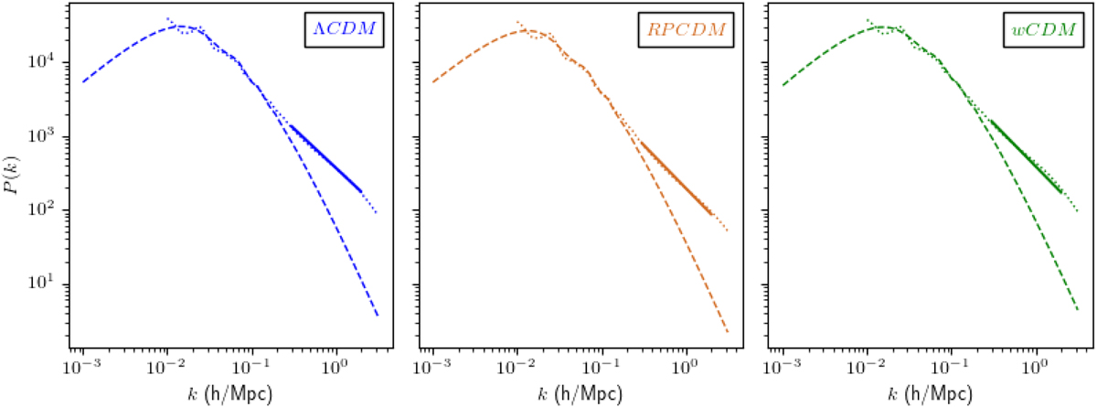
Reconstruction of nonlinear power spectrum. For each model, we reconstruct PNL(k) (solid lines) from the estimation of σNL(M) deduced from shape measures of DM halos at z = 0. The thickness of the solid line reflects an imprecision of 5% on the true value of the density parameter Ωm assumed from independent measurements. The expected nonlinear power spectrum and linear power spectrum deduced from the cosmic matter field of numerical simulation are respectively in dotted line, and dashed line. The agreement between the nonlinear power spectrum and the reconstructed power spectrum is excellent.
Current usage metrics show cumulative count of Article Views (full-text article views including HTML views, PDF and ePub downloads, according to the available data) and Abstracts Views on Vision4Press platform.
Data correspond to usage on the plateform after 2015. The current usage metrics is available 48-96 hours after online publication and is updated daily on week days.
Initial download of the metrics may take a while.