Open Access
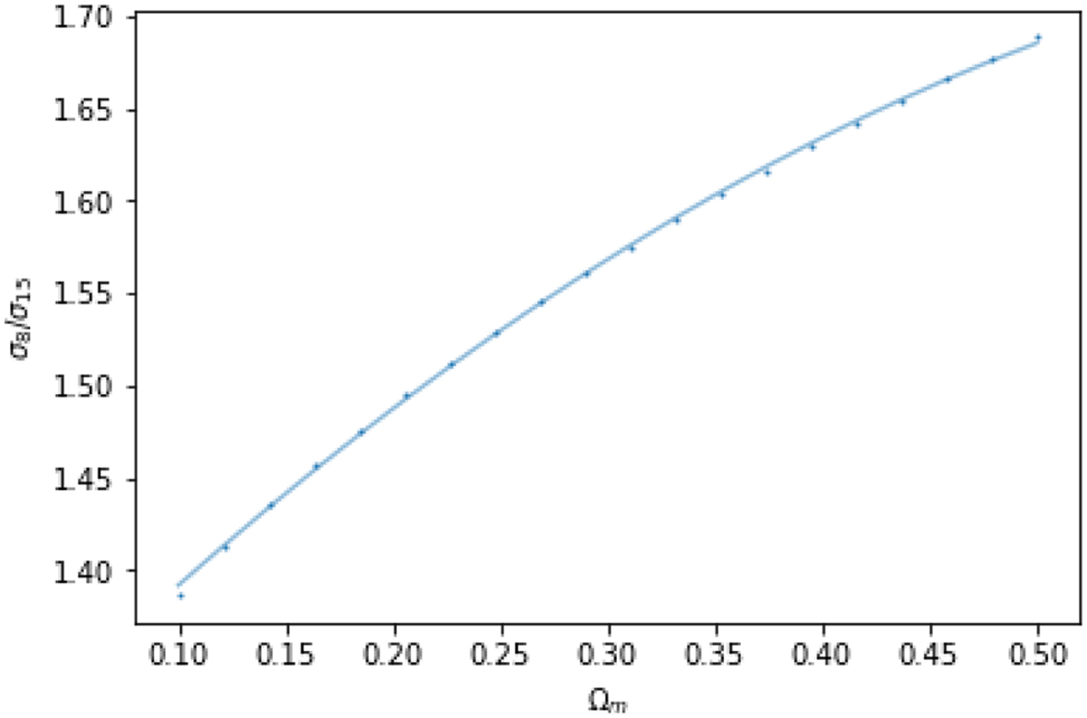
Fig. 23

Download original image
σL(R = 8Mpc/h)/σL(R = 15Mpc/h) for various Ωm, from CAMB. Only Ωm was varied, the other cosmological parameters ns, Ωb... are taken identical to WMAP7 constraints, see Table 1. The result is almost insensitive to DE parameters (w0, wa).
Current usage metrics show cumulative count of Article Views (full-text article views including HTML views, PDF and ePub downloads, according to the available data) and Abstracts Views on Vision4Press platform.
Data correspond to usage on the plateform after 2015. The current usage metrics is available 48-96 hours after online publication and is updated daily on week days.
Initial download of the metrics may take a while.