Fig. A.2

Download original image
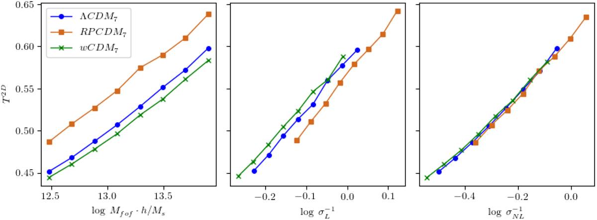
Median squared eccentricity as a function of mass (left), linear variance (middle), and nonlinear variance (right). After projecting all the halos onto the simulation (x, y) plane, we diagonalize the two-dimensional mass tensor of each projected halo. The median eccentricity is still invariant according to cosmology when expressed in bins.
Current usage metrics show cumulative count of Article Views (full-text article views including HTML views, PDF and ePub downloads, according to the available data) and Abstracts Views on Vision4Press platform.
Data correspond to usage on the plateform after 2015. The current usage metrics is available 48-96 hours after online publication and is updated daily on week days.
Initial download of the metrics may take a while.