Fig. 4

Download original image
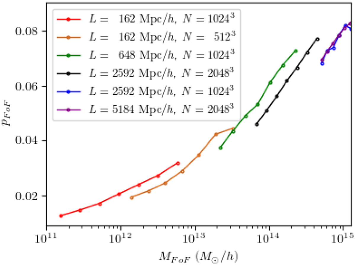
Dependence of the shape of the FoF halos according to the numerical resolution of the simulations in which they were formed. All the simulations correspond to the same ΛCDM model. Each simulation was performed with a specific computing box size L and contains a specific number N of particles. Consequently, the particle masses mp are specific to each simulation. We detected the FoF halos in each of the simulations. We computed their FoF mass, and (without further processing) their shape parameters. We plot the median prolaticity of the halos in each mass range. We first notice that the shape of the FoF halos does indeed depend on the numerical resolution. Halos of 1012 − 1013 M⊙/h are more prolate in the simulation L = 162 Mpc/h with N = 10243 particles than in the less resolved simulation L = 162 Mpc/h with N = 5123 particles. We also note that this effect depends only on the ratio N/L3 (that is mp). The halos corresponding to the blue and purple curves developed in boxes with different L and N, but with the same mass of particles, have not a notably distinct median prolaticity.
Current usage metrics show cumulative count of Article Views (full-text article views including HTML views, PDF and ePub downloads, according to the available data) and Abstracts Views on Vision4Press platform.
Data correspond to usage on the plateform after 2015. The current usage metrics is available 48-96 hours after online publication and is updated daily on week days.
Initial download of the metrics may take a while.